二元函数极限与连续的概念、偏导数及二阶偏导数的计算
【主要内容】
1.二元函数极限与连续的概念
设二元函数f(x,y)在点(x0,y0)的某个去心邻域{(x,y)|0<(x-x0)2+(y-y0)2<δ2}(其中,δ是某正数)内有定义.如果动点(x,y)以任何方式无限趋于点(x0,y0)时,f(x,y)总是无限趋于常数A,则称A是点(x,y)趋于点(x0,y0)(记为(x,y)→(x0,y0))时f(x,y)的极限,记为
或
注 根据定义,可以按以下方法判定
是否存在:
(ⅰ)如果点(x,y)按某种方式趋于点(x0,y0)时,f(x,y)不趋于任一值,则
不存在;
(ⅱ)如果点(x,y)按某两种方式趋于点(x0,y0)时,f(x,y)趋于两个不同值,则
不存在.
设二元函数f(x,y)在点(x0,y0)的某个邻域内有定义.如果
,则称f(x,y)在点(x0,y0)处连续.
如果f(x,y)在区域D的每一点处都连续,则称f(x,y)在区域D上连续.
注 当f(x,y)是有界闭区域D上的连续函数时,它有以下性质:
(ⅰ)f(x,y)在D上必有最大值和最小值,即在D上存在点(x0,y0)和(x1,y1),使得
f(x0,y0)=M(f(x,y)在D上的最大值),f(x1,y1)=m(f(x,y)在D上的最小值)
(ⅱ)f(x,y)可以取到其在D上的最小值m和最大值M之间的任何值C,即存在(ξ,η)∈D,使得f(ξ,η)=C.
2.二元函数偏导数的定义与计算
设二元函数f(x,y)在点(x0,y0)的某个邻域内有定义.如果极限

存在,则称这个极限值为f(x,y)对x(或y)的偏导数,记为
(或
根据定义,fx′(x0,y0)与fy′(x0,y0)可分别通过计算函数f(x,y0)在点x0处的导数与函数f(x0,y)在点y0处的导数得到.
注 当(x,y)是区域D上的任一点时,f(x,y)在该点对x(或对y)的偏导数为fx′(x,y)简记fx′,或
称为偏导函数(简称偏导数),它们往往是关于x,y的二元函数.
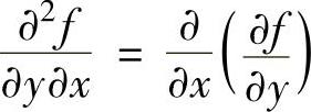
3.二元函数二阶偏导数的定义与计算
设二元函数f(x,y)的偏导函数fx′(x,y),fy′(x,y)在点(x0,y0)仍有偏导数,则称这些偏导数为f(x,y)在点(x0,y0)的二阶偏导数,记为
,或对应地记为fx″x(x0,y0),fx″y(x0,y0),fy″x(x0,y0),fy″y(x0,y0).
根据定义,fx″x(x0,y0)可以通过计算f(x,y0)在点x0处的二阶导数得到,fy″y(x0,y0)可以通过计算f(x0,y)在点y0处的二阶导数得到,而fx″y(x0,y0)可以通过计算fx′(x0,y)在点y0处的导数得到,fy″x(x0,y0)可以通过计算fy′(x,y0)在点x0处的导数得到.
如果函数f(x,y)在区域D的任一点(x,y)处都有二阶偏导数,则记为

或相应地记为
显然,
,
,
注 (ⅰ)设函数f(x,y)的两个二阶混合偏导数fx″y,fy″x在点(x0,y0)处(在区域D)连续,则在点(x0,y0)(在区域D)有fx″y=fy″x.
(ⅱ)f(x,y)的三阶、四阶偏导数也可用类似方法定义.(https://www.daowen.com)
【典型例题】
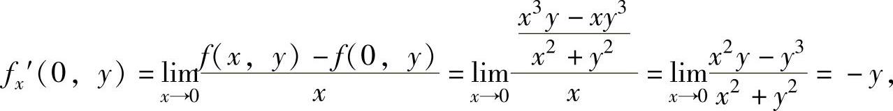
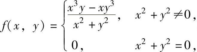
例3.1.1 设二元函数
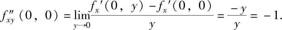
求fx′(0,0)和fx″y(0,0).
精解 先由偏导数定义计算出fx′(0,0)和fx′(0,y)(y≠0),然后再由偏导数定义计算fx″y(0,0).

此外,由于y≠0时,
所以,
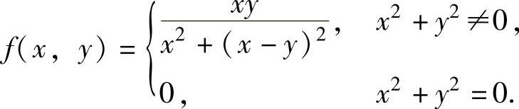
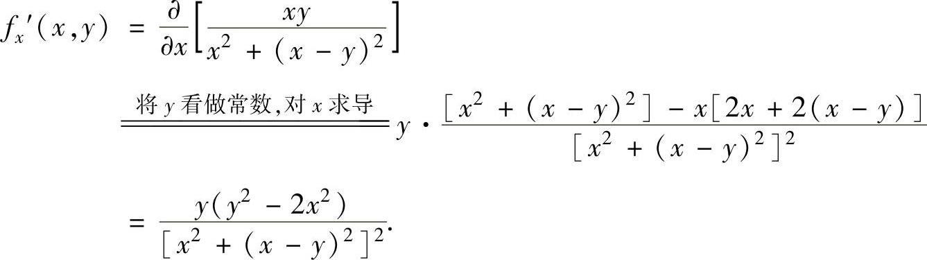
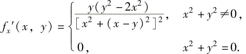
例3.1.2 设二元函数
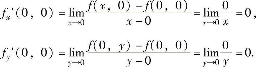
(1)求fx′(0,0),fy′(0,0);
(2)讨论fx′(x,y)在点(0,0)处的连续性.
精解 (1)按定义计算fx′(0,0)和fy′(0,0).

(2)当x2+y2≠0时,

所以,
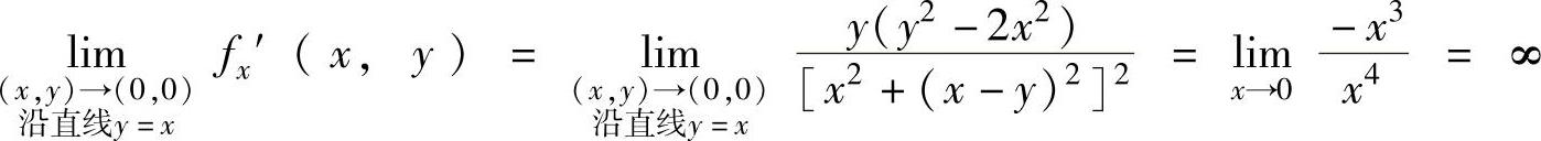
由于,
,即
不存在,所以fx′(x,y)在点(0,0)处不连续.
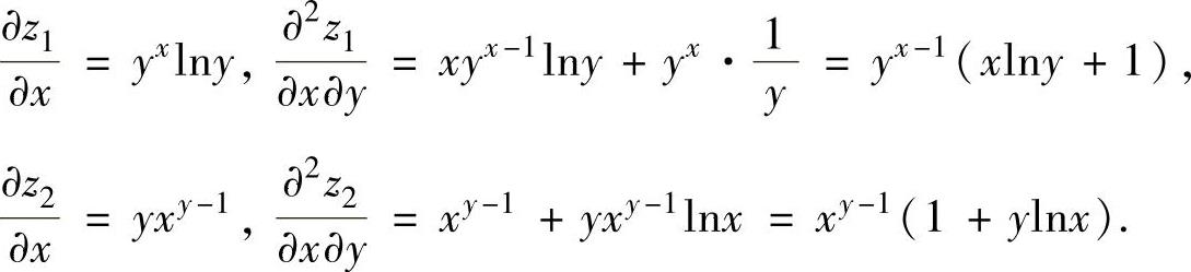
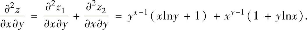
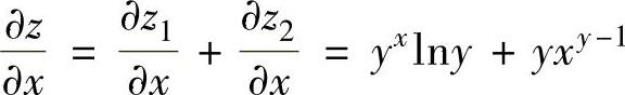
例3.1.3 设z=yx+xy.求
精解 先分别计算z1=yx,z2=xy的一阶和二阶偏导数:
所以,
,

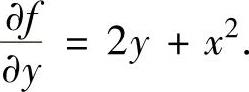
例3.1.4 设二元函数f(x,y)满足
,求f(x,y)的表达式.
精解
的两边对y积分(此时将x看做常数)得
(其中,φ(x)是关于x的待定函数).(1)
在式(1)中,令y=0,则由题设
,将它代入式(1)得

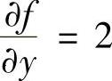
上式两边对y积分(此时将x看做常数)得
f(x,y)=y2+x2y+ψ(x)(其中,ψ(x)是关于x的待定函数).(2)在式(2)中令y=0,则由题设f(x,0)=x得ψ(x)=x.将它代入式(2)得
f(x,y)=y2+x2y+x.
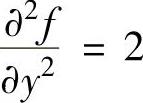
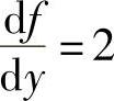
注 对一元函数f(y)来说,由
得f(y)=2y+C(其中,C是任意常数),但对二元
函数f(x,y)来说,由
得f(x,y)=2y+φ(x)(其中,φ(x)是关于x的任意函数).