多元函数极值的计算
【主要内容】
1.二元函数极值的定义
设二元函数f(x,y)在点(x0,y0)的某个邻域内有定义.如果在此邻域内对任意(x,y)≠(x0,y0)都有
f(x,y)<f(x0,y0)(或f(x,y)>f(x0,y0)),则称f(x0,y0)是f(x,y)的一个极大值(或极小值),称(x0,y0)为f(x,y)的极大值点(或极小值点).极大值与极小值总称极值,极大值点与极小值点总称极值点.
2.二元函数极值存在的必要条件
设二元函数f(x,y)在点(x0,y0)处有偏导数,则它在点(x0,y0)处取得极值的必要条件为
fx′(x0,y0)=0且fy′(x0,y0)=0(称满足fx′(x,y)=0且fy′(x,y)=0的点(x0,y0)为f(x,y)的驻点).
注 函数极值的必要条件可以推广.
设二元函数f(x,y)在点(x0,y0)的某个邻域内有定义,则它在点(x0,y0)处取得极值的必要条件为
fx′(x0,y0)=0(或不存在)且fy′(x0,y0)=0(或不存在).
由此可知,对于二元函数f(x,y),它的可能极值点来自三个方面:
(ⅰ)使fx′(x,y),fy′(x,y)都为零的点;
(ⅱ)使fx′(x,y)为零而fy′(x,y)不存在或者使fy′(x,y)为零而fx′(x,y)不存在的点;
(ⅲ)使fx′(x,y),fy′(x,y)都不存在的点.
3.二元函数极值的充分条件
设二元函数f(x,y)在点(x0,y0)的某个邻域内有二阶连续偏导数且
fx′(x0,y0)=fy′(x0,y0)=0.记A=fx″x(x0,y0),B=fx″y(x0,y0),C=fy″y(x0,y0),则
(1)当AC-B2>0时,f(x0,y0)是f(x,y)的一个极值,且当A>0时,是极小值,当A<0时,是极大值.
(2)当AC-B2<0时,f(x0,y0)不是极值.
(3)当AC-B2=0时,f(x0,y0)是否为极值需具体讨论(一般地,通过极值的定义讨论).
4.二元函数极值的计算步骤
二元函数f(x,y)的极值可按以下步骤计算:
(1)确定f(x,y)的定义域D(设f(x,y)在D上有二阶连续偏导数);
(2)计算f(x,y)在D上的所有驻点,记为(x1,y1),(x2,y2),…,(xn,yn);
(3)逐一判断各个驻点是否为极值点,如果是极值点,则同时确定其是极大值点还是极小值点,并求出对应的极大值或极小值.
【典型例题】
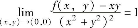
例3.5.1 (单项选择题)已知二元函数f(x,y)在点(0,0)的某个邻域内连续,且
,则( ).
A.(0,0)不是f(x,y)的极值点
B.(0,0)是f(x,y)的极大值点
C.(0,0)是f(x,y)的极小值点
D.无法判定(0,0)是否为f(x,y)的极值点
精解 可由二元函数极值的定义进行判定.
由题设知,在点(0,0)的充分小邻域内有
f(x,y)=xy+(x2+y2)2+o((x2+y2)2).由此可知,在点(0,0)的充分小邻域内,存在使f(x,y)>0的点,也有使f(x,y)<0的点.所以,(0,0)不是f(x,y)的极值点.(https://www.daowen.com)
因此本题选A.
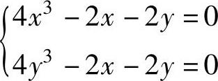
例3.5.2 求二元函数z=x4+y4-x2-2xy-y2的极值.
精解 二元函数在整个xOy平面上有定义,且在其上有二阶连续偏导数,
zx′=4x3-2x-2y,zy′=4y3-2x-2y,
A(x,y)=zx″x=12x2-2,B(x,y)=zx″y=-2,C(x,y)=zy″y=12y2-2.
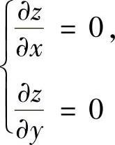
方程组
,
{,即
,的第一个方程减去第二个方程得y=x.将它代入第
一个方程得
4x3-4x=0,即 x=-1,1,0.对应地有y=-1,1,0.所以f(x,y)有驻点
(-1,-1),(1,1),(0,0).
由于A(-1,-1)=10>0,且(AC-B2)(-1,-1)=96>0,所以z(-1,-1)=-2是极小值.同样z(1,1)=-2也是极小值.
由于(AC-B2)(0,0)=0,所以需用其他方法讨论z(0,0)是否为极值.因为z=x4+y4-(x+y)2,所以在点(0,0)的充分小去心邻域内,当x+y=0时,z>0;当x+y≠0时,z<0,因此z(0,0)不是极值.
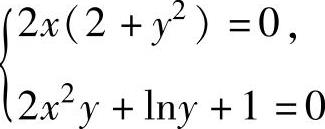
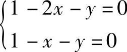
例3.5.3 求二元函数f(x,y)=x2(2+y2)+ylny的极值.
精解 f(x,y)在其定义域y>0上二阶连续可导,且
fx′(x,y)=2x(2+y2),fy′(x,y)=2x2y+lny+1,
A(x,y)=fx″x(x,y)=4+2y2,B(x,y)=fx″y=4xy,
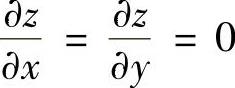
由方程组
,
{,即
知f(x,y)有唯一驻点
由于
,所以
是f(x,y)的极小值,f(x,y)无极大值.
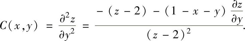
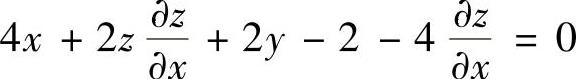
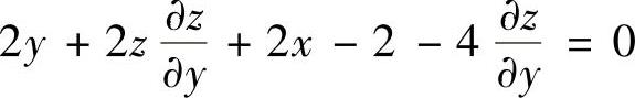
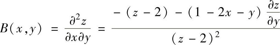
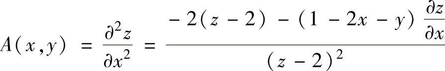
例3.5.4 设二元函数z=z(x,y)由方程2x2+y2+z2+2xy-2x-2y-4z+4=0确定,求z=z(x,y)的极值.
精解 本题的z=z(x,y)虽然是二元隐函数,但它的极值的计算方法却与二元显函数z=f(x,y)相同.
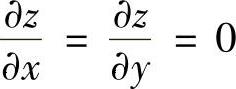
所给方程两边分别对x,y求偏导数得
,即
,(1)
,即
由
即
,得x=0,y=1,对应的函数值为z=1,3.
由式(1)和式(2)得
,
,
当x=0,y=1,z=1时,有
且
A(0,1)=2>0,(AC-B2)(0,1)=2·1-12=1>0,所以z=z(x,y)在点(0,1)处取到极小值z=1.
当x=0,y=1,z=3时,有
,此时
A(0,1)=-2<0,(AC-B)2(0,1)=(-2)·(-1)-(-1)2=1>0,
所以z=z(x,y)在点(0,1)处取到极大值z=3.
注 由式(1)和式(2)可知,z=2也可能是z=z(x,y)的极值.由于z=2时,所给方程成为
2x2+y2+2xy-2(x+y)=0,即x2+(x+y-1)2=1.
由此可知,z=z(x,y)在曲线x2+(x+y-1)2=1上取值为2,从而z=2不可能是z=z(x,y)的极值.