二元复合函数偏导数及二阶偏导数的计算
【主要内容】
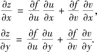
设二元函数u=u(x,y),v=v(x,y)在点(x,y)处偏导数存在,函数z=f(u,v)在对应点(u,v)处可微,则复合函数z=f(u(x,y),v(x,y))在点(x,y)处的偏导数存在,且

二元以上复合函数的偏导数也有类似的计算公式.
注 在计算二元或二元以上复合函数的偏导数时,应先画出复合函数的关系图,然后按此图用复合函数求偏导数公式计算.例如,二元复合函数z=f(u(x,y),v(x))的关系图为

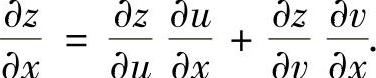
由关系图可见,z与x之间有两条通路:①—③,②—⑤,所以

复合函数f的二阶偏导数可以通过对已求得的一阶偏导数再求偏导数得到,但当复合函数f是抽象函数时,对一阶偏导数再求偏导数时总是认为一阶偏导数有与复合函数f本身相同的复合函数关系图.
【典型例题】
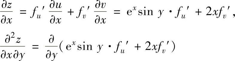
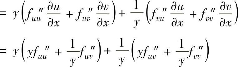
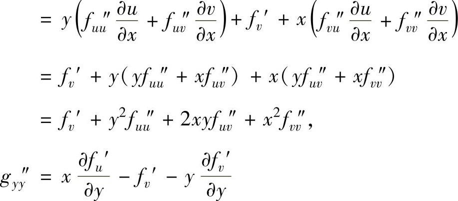
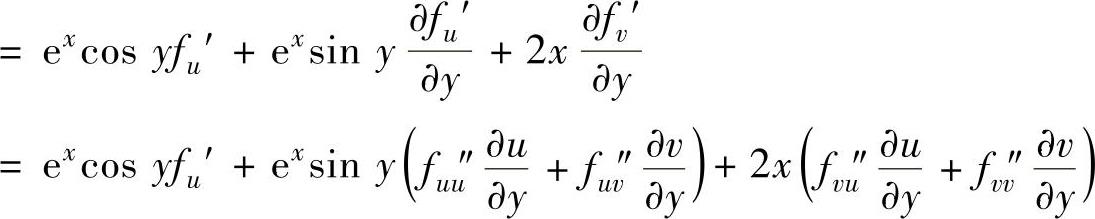
例3.3.1 设z=f(exsiny,x2+y2),其中,二元函数f(u,v)具有二阶连续偏导数,求
,
精解 由于u=exsiny,v=x2+y2,所以z与x,y的复合函数关系图如图3.3.1所示,由图可知,

图 3.3.1
(可以认为fu′,fv′都有与f同样的复合函数关系图)=excosyfu′+exsiny(excosyfuu″+2yfuv″)+2x(excosyfuv″+2yfvv″)=excosyfu′+e2xsinycosyfuu″+2ex(ysiny+xcosy)fuv″+4xyfvv″.
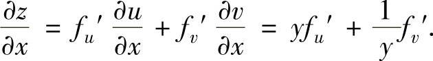
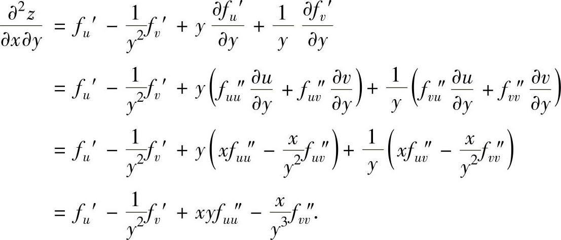
例3.3.2 设二元函数
,其中,f(u,v)有二阶连续偏导数,求
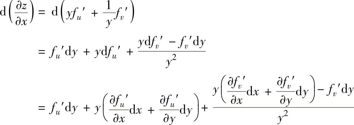
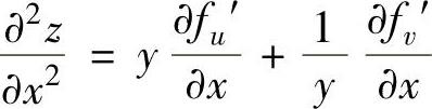
精解 先算出
,然后计算
的全微分,从而确定
记u=xy,
,则z与x,y的复合函数关系如图3.3.2所示.
由图可知,

由此可得

图 3.3.2

(https://www.daowen.com)
所以

,

注 在同时计算二元复合函数z=f(u(x,y),v(x,y))的
,
时,可利用全微分形
式不变性,从计算dz入手较为快捷,同样在同时计算
,
时,可从计算
入手.
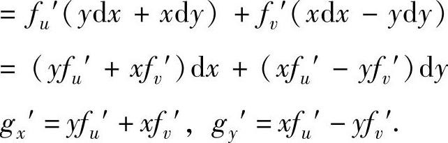
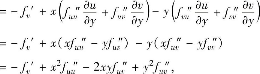
例3.3.3 设f(u,v)具有二阶连续偏导数,且满足fx″x+fy″y=1,又g(x,y)=
,求gx″x+gy″y.
精解 先算出gx″x,gy″y,然后利用fx″x+fy″y=1计算gx″x+gy″y.
记u=xy,
,则g(x,y)的复合函数关系如图3.3.3所示.
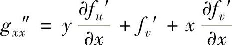
于是由
得
从而


图 3.3.3

由此得到
gx″x+gy″y=(x2+y2)(fu″u+fv″v)=x2+y2
(利用题设fx″x+fy″y=1,即fu″u+fv″v=1).
例3.3.4 设二元函数u=u(x,y)有连续的二阶偏导数,并满足
,且u(x,2x)=x,ux′(x,2x)=x2.求ux″x(x,2x),ux″y(x,2x).
精解 先计算dux′(x,2x)得到一个关于ux″x(x,2x)与ux″y(x,2x)的关系式.再由u(x,2x)=x得到另一个关于ux″x(x,2x)与ux″y(x,2x)的关系式.
由于 dux′(x,2x)=ux″x(x,2x)dx+ux″y(x,2x)·2dx
=[ux″x(x,2x)+2ux″y(x,2x)]dx,另一方面,由题设ux′(x,2x)=x2得dux′(x,2x)=2xdx,所以
ux″x(x,2x)+2ux″y(x,2x)=2x.(1)
对u(x,2x)=x两边求全微分得
ux′(x,2x)dx+2uy′(x,2x)dx=dx,即 ux′(x,2x)+2uy′(x,2x)=1.上式两边对x求偏导数得
ux″x(x,2x)+2ux″y(x,2x)+2uy″x(x,2x)+4uy″y(x,2x)=0,即5ux″x(x,2x)+4ux″y(x,2x)=0(2)
(由于u有二阶连续偏导数,所以ux″y=uy″x,此外由题设知uy″y=ux″x).
将式(1)和式(2)联立得
从而由式(1)得