二元隐函数偏导数及二阶偏导数的计算
2026年01月14日
四
、二元隐函数偏导数及二阶偏导数的计算
【主要内容】
1.二元隐函数偏导数的计算
设二元函数z=z(x,y)由方程F(x,y,z)=0确定,则称z=z(x,y)是二元隐函数.它的偏导数可按以下步骤计算:
(1)所给方程两边对x(或y)求偏导数(此时应注意z是关于x与y的二元函数)得
;
(2)解上述以
为未知数的方程,即得
注 关于方程F(x,y,z)=0确定隐函数z=z(x,y)有以下的隐函数定理:
设F(x,y,z)在点(x0,y0,z0)的某个邻域内有连续偏导数,并且F(x0,y0,z0)=0,Fz′(x0,y0,z0)≠0,则方程F(x,y,z)=0在点(x0,y0,z0)的某个邻域内确定唯一的具有连续偏导数的函数z=z(x,y),它还满足z0=z(x0,y0)及F(x,y,z(x,y))≡0.
2.二元隐函数二阶偏导数的计算
二元隐函数的二阶偏导数,可以对已求得的一阶偏导数再求偏导数得到.(https://www.daowen.com)
【典型例题】
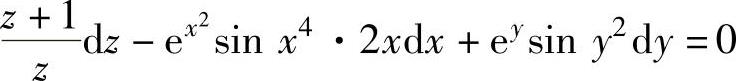
例3.4.1 设二元函数z=z(x,y)由方程
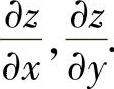
确定,求
精解 所给方程两边求全微分得
即
所以,

注 由于本题需计算
,所以不是从对所给方程两边分别求关于x和关于y的偏导数入手,而是从对所给方程两边求全微分入手.
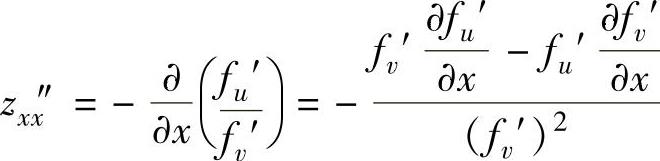
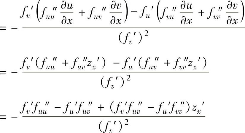
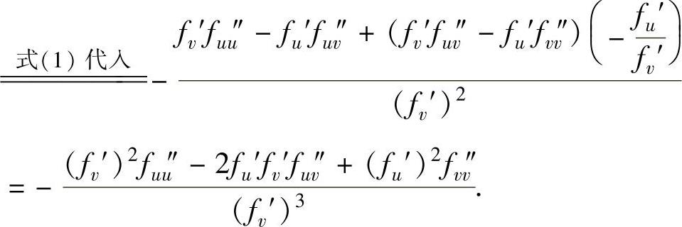
例3.4.2 设二元函数z=z(x,y)由方程f(x+y,y+z)=0确定,其中,函数f(u,v)具有二阶连续偏导数,且fv′≠0.求zx″x.
精解 由二元隐函数求偏导数方法先算出zx′,然后计zx″x.
记u=x+y,v=y+z,在所给方程两边对x求偏导数得fu′+fv′zx′=0, 即
于是,

