多元连续函数在有界闭区域上最值的计算
【主要内容】
1.二元情形
设二元函数f(x,y)在有界闭区域D上连续,则它在D上必能取到最大值与最小值,当f(x,y)还在D的内部可微时,则最大值与最小值可按以下步骤计算:
(1)计算f(x,y)在D的内部的所有可能极值点,记为(x1,y1),(x2,y2),…,(xn,yn).
(2)计算f(x,y)在D的边界上的最大值与最小值,分别记为M1,m1,其中M1,m1可以把边界方程代入f(x,y)转化成一元函数最值问题计算,也可以把边界方程作约束条件,用拉格朗日乘数法计算.
(3)比较f(x1,y1),f(x2,y2),…,f(xn,yn),M1,m1,其中最大者即为f(x,y)在D上的最大值,最小者即为f(x,y)在D上的最小值.
2.三元情形
设三元函数f(x,y,z)在有界闭区域Ω上连续,则它在Ω上必能取到最大值与最小值,当f(x,y,z)在Ω内部可微时,其最大值与最小值的计算方法与二元情形相同.
【典型例题】
例3.7.1求二元函数f(x,y)=x2+2y2-x2y2在闭区域D={(x,y)|x2+y2≤4,y≥0}上的最大值与最小值.
精解 先计算f(x,y)在D内部{(x,y)|x2+y2<4,y>0}的所有可能极值点.
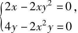
解方程组
即
得
,y=1,所以f(x,y)在D的内部的所有
可能极值点为
,
下面计算f(x,y)在D的边界C上的最值.边界C由C1:x2+y2=4(-2≤x≤2,y≥0)和C2:y=0(-2≤x≤2)组成.在C1上,f(x,y)=x2+2(4-x2)-x2(4-x2)
,
所以f(x,y)在C1上的最大值为8(即
在x=0处的值),最小值为
在
在C2上,f(x,y)=x2(-2≤x≤2),所以f(x,y)在C2上的最大值为4,最小值为0.
由此可知,f(x,y)在C上的最大值为8,最小值为0.
由于
,
,8,0,即2,2,8,0中最大者为8,最小者为0,所以,
f(x,y)在D上的最大值为8,最小值为0.
例3.7.2 求二元函数f(x,y)=3x2+3y2-x3在有界闭区域D={(x+y)|x+y≤1,x≥0,y≥0}上的最大值与最小值.
精解 先计算f(x,y)在D内部{(x,y)|x+y<1,x>0,y>0}的可能极值点.解方程组
即{
得x=0,y=0;x=2,y=0,故f(x,y)的可能极值点为(0,0)和(2,0).显然它们都不在D的内部,即在D的内部f(x,y)无可能极值点.
下面计算f(x,y)在D的边界C上的最值,显然它的最大值、最小值即为f(x,y)在D上的最大值、最小值.
边界C由三部分组成,即Ⅰ:x+y=1(0≤x≤1);Ⅱ:y=0(0≤x≤1);Ⅲ:x=0(0≤y≤1).
在Ⅰ上,y=1-x,所以

由于φ′(x)=-6+12x-3x2=-3(x2-4x+2)在(0,1)内有唯一实根
,所以φ(x)
在[0,1]上的最大值为max
,
,最小值
为
,φ(0),
在Ⅱ上,y=0,所以(https://www.daowen.com)

由于φ1′(x)=6x-3x2=3x(2-x)>0(0<x<1),所以φ1(x)在[0,1]上的最大值为φ1(1)=2,最小值为φ1(0)=0.
在Ⅲ上,x=0,所以

显然,φ2(y)在[0,1]上的最大值为φ2(1)=3,最小值为φ2(0)=0.
综上所述,f(x,y)在C上的最大值为max{3,2,3}=3,最小值为
,
0}=0.从而f(x,y)在D上的最大值为3,最小值为0.
例3.7.3 求二元函数f(x,y)=x2+y2在闭区域
上的最大值与最小值.
精解 先计算f(x,y)在D的内部
的极值点.
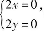
解方程组
即
得x=y=0,所以f(x,y)在D的内部有唯一的可能极值点
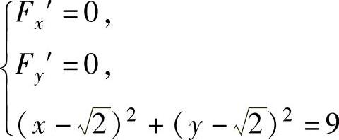
(0,0).下面计算f(x,y)在D的边界C:
上的最值,应用拉格朗日乘
数法:记
,则

于是方程组
即为
由式(1)和式(2)知x=y,将它代入式(3)得
,
,即f(x,y)在C上有两个可
能极值点
,
由于
,
所以,f(x,y)在C上的最大值为25,最小值为1.从而f(x,y)在D上的
最大值=max{f(0,0),25}=max{0,25}=25,
最小值=min{f(0,0),1}=min{0,1}=0.
例3.7.4 求三元函数u=x2+2y2+3z2在闭区域Ω={(x,y,z)|x2+y2+z2≤100}上的最值.
精解 先计算u在Ω内部{(x,y,z)|x2+y2+z2<100}的所有可能极值点.
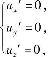
解方程组
即
得x=y=z=0,所以u在Ω内部有唯一的可能极值点(0,0,0).
下面应用拉格朗日乘数法计算u在Ω的边界S:x2+y2+z2=100上的最值.
由于在S上u=x2+2y2+3z2=100+y2+2z2,所以,u在S上的最大值与最小值即为φ(y,z)=100+y2+2z2在yOz平面上闭区域D={(x,y)|y2+z2≤100}上的最大值与最小值.
先计算φ(y,z)在D的内部{(y,z)|y2+z2<100}的所有可能极值点.
解方程组
即
得y=z=0,所以φ(y,z)在D内部有唯一可能的极值点(0,0).
再计算φ(y,z)在D的边界C:y2+z2=100上的最值.
在C上,φ(y,z)=100+(y2+z2)+z2=200+z2(-10≤z≤10),显然它的最大值为300,最小值为200.
因此,φ(y,z)在D上的最大值=max{φ(0,0),300}=max{100,300}=300,最小值=min{100,200}=100.从而u在Ω上的最大值与最小值分别为300与0.