二重积分的计算
【主要内容】
1.二重积分的概念
设二元函数f(x,y)在xOy平面有界闭区域D上有界,将D任意划分成n个小闭区域Δσ1,Δσ2,…,Δσn,其中Δσi表示第i个小闭区域,也表示它的面积,在每个小闭区域Δσi上任取一点(ξi,ηi)(i=1,2,…,n),如果不管如何划分Δσ1,Δσ2,…,Δσn,也不管在每个Δσi上如何取点(ξi,ηi),极限
(其中,λ表示各个小区域
Δσi的直径的最大者)总是存在且相等,则称此极限值为f(x,y)在D上的二重积分,记为
,即

当f(x,y)是有界闭区域D上的二元连续函数时,二重积分
存在,并且当
f(x,y)≥0时,
表示以D为底,曲面z=f(x,y)为顶,侧面是以D的边界为准线、
母线平行于z轴的柱面所围成的曲顶柱体的体积.
2.二重积分的计算方法
有界闭区域上二元连续函数的二重积分计算步骤如下:
(1)按二重积分的性质,尤其是利用积分区域的对称性,化简二重积分,使它转化成易于化为二次积分的形式.
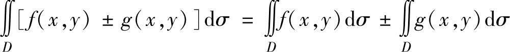
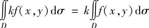
二重积分主要有以下性质:
设f(x,y),g(x,y)都是有界闭区域D上的连续函数,k是常数,则
(ⅰ)
,
(ⅱ)
,
(ⅲ)
(其中,D1,D2是D的一个划分,即D=D1+D2),
(ⅳ)对于二重积分
,当D关于x轴(或y轴)对称时,如果在对称点处
f(x,y)的值互为相反数,则
;如果f(x,y)的值彼此相等,则
,其中D1是D按对称性划分而成的两部分之一.
当D既关于x轴对称,又关于y轴对称时,如果在对称点处f(x,y)的值彼此相等,则
(D0是D按对称性划分成的四部分之一).
(2)将化简后的二重积分记为
,然后进行两次定积分计算,即算得所求的二
重积分值.将二重积分
化为二次积分的方法具体如下:
(ⅰ)设D′={(x,y)|a≤x≤b,φ1(x)≤y≤φ2(x)}(称为X型),则
(计算
时,x看做常数).
(ⅱ)设D′={(x,y)|c≤y≤d,ψ1(y)≤x≤ψ2(y)}(称为Y型),则
(计算
时,y看做常数).
(ⅲ)设D′={(r,θ)|0≤α≤θ≤β≤2π,r1(θ)≤r≤r2(θ)}(称为角域型),则
(计算
时,θ看做常数).
(ⅳ)当D′既不是X型,也不是Y型和角域型时,需用与y轴平行的直线,或与x轴平行的直线,或从原点发出的射线将D′分成若干小块X型,或Y型,或角域型,然后对各小块应用(ⅰ),或(ⅱ),或(ⅲ).
【典型例题】
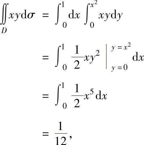
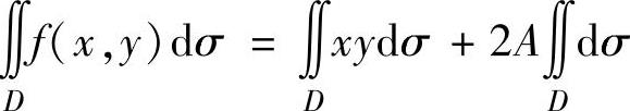
例3.8.1 设f(x,y)是二元连续函数,且满足
,
其中,D是由直线y=0,x=1和曲线y=x2围成的闭区域.求f(x,y)的表达式.
精解 由于
是常数,记为A,则所给等式成为
f(x,y)=xy+2A.(1)
式(1)两边在D(如图3.8.1阴影部分所示)积分得
,即
由于D={(x,y)|0≤x≤1,0≤y≤x2}是X型,所以


图 3.8.1
将它们代入式(2)得

,即
将它代入式(1)得
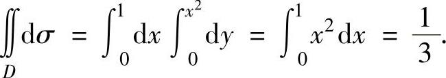
例3.8.2 求二重积分
,其中,D:x2+y2≤2,x2+y2≤2x.
精解 D如图3.8.2阴影部分所示,它可表示为
,
,
显然是Y型,所以

(https://www.daowen.com)
图 3.8.2
例3.8.3 计算二重积分
,
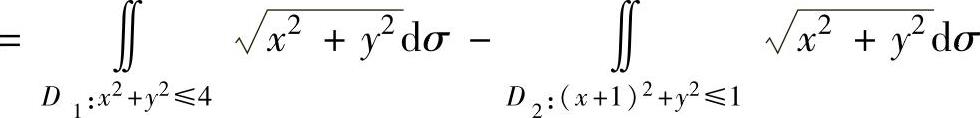
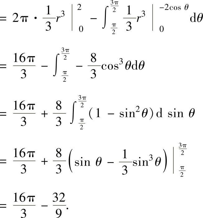
其中,D:x2+y2≤4和(x+1)2+y2≥1.
精解 D如图3.8.3阴影部分所示,所以
(由于D关于x轴对称,在对称

图 3.8.3
点处被积函数y互为相反数,所以

(由于D的图形比较复杂,不易计算二重积分,但它是D1与D2之差,而D1与D2都是圆,
它们的二重积分比较容易计算,因此将
表示成
这种方法在二重积分中是有用的,应予以注意).


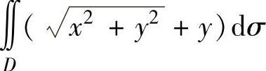
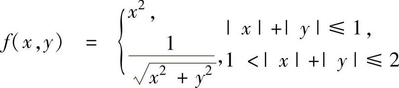
例3.8.4 设二元函数
,求二重积分
,其中,D={(x,y)|x|+|y|≤2}.
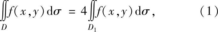
精解 D关于x轴对称,也关于y轴对称,f(x,y)在对称点处的函数值彼此相等,所以,

其中,D1是D在第一象限的部分.
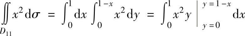
按f(x,y)的表达式,将D1划分成D11与D12两块,如图3.8.4所示.
D11={(x,y)x+y≤1,x≥0,y≥0},
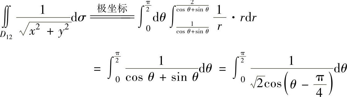
D12={(x,y)1<x+y≤2,x≥0,y≥0}.

图 3.8.4
于是
,(2)
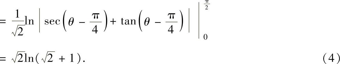
其中,
,(3)


将式(3)和式(4)代入式(2)得

从而由式(1)知

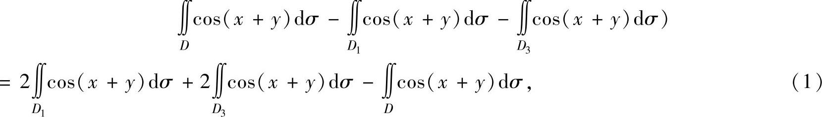
例3.8.5 求二重积分
,其中,D={(x,y)|0≤x≤π,0≤y≤π}.
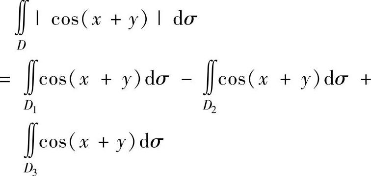
精解 因为

所以用直线
,
将D划分成D1、D2、D3,即
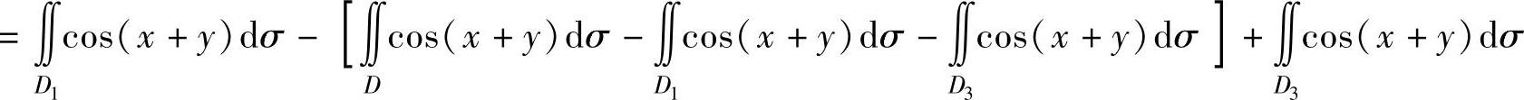
D=D1+D2+D3,如图3.8.5所示.于是


图 3.8.5

(这里,由于
不易直接计算,故把它转换成

其中,



将式(2)、式(3)、式(4)代入式(1)得
