矩阵的特征值与特征向量
【主要内容】
1.矩阵的特征值与特征向量的定义
设A是n阶矩阵.如果数λ和n维非零向量x满足
Ax=λx,
则称λ是A的特征值,称x是A的对应λ的特征向量.
2.矩阵特征值的计算方法
设A是n阶矩阵,当它是抽象矩阵时,其特征值与特征向量可按定义寻找,即设法得到各种形如Aα=λα(α是n维非零向量)的表达式,就可得到A的特征值及对应的特征向量.当A是n阶数字矩阵时,可以通过解A的特征方程λEn-A=0(称λEn-A为A的特征多项式,称λEn-A为A的特征矩阵)得到A的所有特征值,然后对各个特征值λ解齐次线性方程组(λEn-A)x=0,它的每个非零解即为A的对应λ的所有特征向量.
3.矩阵特征值及特征向量的性质
设A是n阶矩阵,则
(1)A的不同特征值对应的特征向量线性无关.
(2)A的n个特征值之和为A的主对角线元素之和(称为A的迹,记为trA),A的n个特征值之积为A.
(3)当A可逆时,它的特征值都不为零,并且当A具有特征值λ0及对应的特征向量ξ
时,A-1具有特征值
及对应的特征向量ξ,A∗具有特征值
及对应的特征向量ξ.
(4)当A具有特征值λ0及对应的特征向量ξ时,φ(A)(φ(λ)是关于λ的多项式,即φ(λ)=a0+a1λ+…+amλm,φ(A)=a0En+a1A+…+amAm)具有特征值φ(λ0)=a0+a1λ0+…+amλ0m及对应的特征向量ξ.
【典型例题】
例6.5.1 (单项选择题)设λ1,λ2是n阶矩阵A的特征值,ξ1,ξ2是对应的特征向量,则( ).
A.λ1=λ2时,ξ1与ξ2线性相关
B.λ1≠λ2时,λ3=λ1+λ2也是A的特征值,且对应的特征向量为ξ1+ξ2
C.λ1≠λ2时,ξ1+ξ2不是A的特征向量
D.λ1=0时,ξ1=0
精解 按特征值与特征向量的定义选择正确的选项.
当λ1≠λ2时,ξ1+ξ2必不是A的特征向量.下面用反证法证明这一结论.
设ξ1+ξ2是A的对应特征值μ的特征向量,则有
A(ξ1+ξ2)=μ(ξ1+ξ2),即Aξ1+Aξ2=μξ1+μξ2.将题设的Aξ1=λ1ξ1,Aξ2=λ2ξ2代入上式得
λ1ξ1+λ2ξ2=μξ1+μξ2,即(λ1-μ)ξ1+(λ2-μ)ξ2=0.于是由ξ1,ξ2是对应不同特征值的特征向量得
λ1-μ=λ2-μ=0,即λ1=λ2.这与λ1≠λ2矛盾.
因此本题选C.
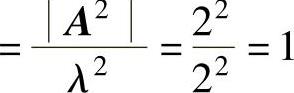
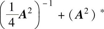
例6.5.2 (单项选择题)设λ=2是n阶矩阵A的一个特征值,A=2,则矩阵
对应的特征值为( ).
A.1 B.2 C.3 D.4
精解 对应λ=2,矩阵
的特征值
,矩阵(A2)∗
的特征值
,所以,所求的特征值为1+1=2.
因此本题选B.
例6.5.3 已知二阶矩阵A及2维列向量α满足(https://www.daowen.com)
A2α+2Aα-3α=0,
且α,Aα线性无关,求A的所有特征值与特征向量.
精解 由于A是2阶矩阵,所以其仅有两个特征值.下面根据定义寻找它的特征值与特征向量.
由题设A2α+2Aα-3α=0可得
(A-E2)(Aα+3α)=0, 即 A(Aα+3α)=Aα+3α;
(A+3E2)(A-E2)α=0, 即 A(A-E2)α=-3(Aα-α).此外由题设α,Aα线性无关知,Aα+3α,(A-E2)α都是非零向量,因此,A有特征值λ=1,-3,且A的对应λ=1的特征向量为Aα+3α.对应λ=-3的特征向量为Aα-α.
例6.5.4 设矩阵

,求它的特征值及特征向量.
精解 先计算特征方程λE3-A=0的根得到A的特征值,然后逐一计算A的特征值λ对应的齐次线性方程组(λE3-A)x=0的非零解,得A的特征向量.

所以,λE3-A=0的根,即A的特征值为λ=-5,1(二重).
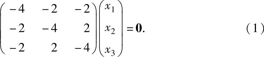
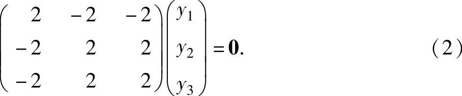
设对应λ=-5的特征向量为x=(x1,x2,x3)T,则x满足(-5E3-A)x=0,即
由于

所以,式(1)与方程组
,同解.因此式(1)的基础解系为(-1,1,1)T.从而A的对应特征值λ=-5的所有特征向量为c(-1,1,1)T(其中c为任意非零常数).
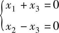
设对应λ=1的特征向量为y=(y1,y2,y3)T,则y满足
(E3-A)y=0,即
显然,式(2)与方程y1-y2-y3=0同解.因此式(2)的基础解系为
(1,1,0)T,(1,0,1)T.从而A的对应特征值λ=1的所有特征向量为
c1(1,1,0)T+c2(1,0,1)T(c1,c2是不全为零的任意常数).
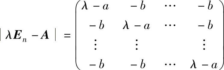
例6.5.5 设n阶矩阵

求A的所有特征值与特征向量.
精解 由于

=[λ-a-(n-1)b](λ-a+b)n-1,所以,A的所有特征值为λ=a+(n-1)b,a-b(n-1重).
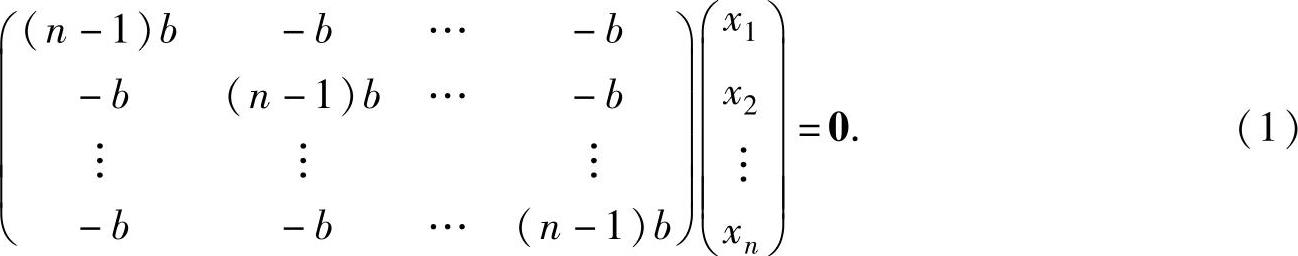
设对应特征值λ=a+(n-1)b的特征向量为x=(x1,x2,…,xn)T,则x满足方程组

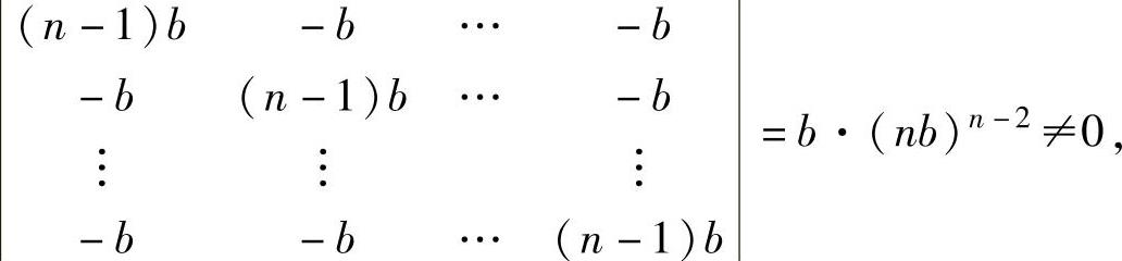
显然该方程组有解α0=(1,1,…,1)T(n维非零列向量).由于方程组(1)的系数矩阵的n-1阶子式

所以,方程组(1)的系数矩阵的秩为n-1,从而α0是方程组(1)的一个基础解系.因此λ=a+(n-1)b对应的所有特征向量为
(c是任意非零常数).
设对应特征值λ=a-b的特征向量为y=(y1,y2,…,yn)T,则y满足方程x1+x2+…+xn=0,它的基础解系为n维向量组
(-1,1,0,…,0)T,(-1,0,1,…,0)T,(-1,0,…,1)T.所以,λ=a-b对应的所有特征向量为
c1(-1,1,0,…,0)T+c2(-1,0,1,…,0)T+…+cn-1(-1,0,…,1)T,其中,c1,c2,…,cn-1是任意不全为零的常数.