矩阵的相似对角化
【主要内容】
1.矩阵可相似对角化的定义
设A是n阶矩阵,如果它与n阶对角矩阵Λ相似,则称A可化为相似的对角矩阵,简称A可相似对角化.
n阶矩阵A可相似对角化的条件:
(1)A有n个互异的特征值是A可相似对角化的充分而非必要条件.
(2)A是实对称矩阵是A可相似对角化的充分而非必要条件.
(3)A有n个线性无关的特征向量是A可相似对角化的充分必要条件.
(4)A的每个ni重特征值λi的特征矩阵λiEn-A都满足r(λiEn-A)=n-ni是A可相似对角化的充分必要条件.
2.矩阵相似对角化方法
要将n阶矩阵A相似对角化,实质上是寻找可逆矩阵P和对角矩阵Λ,使得P-1AP=Λ,P和Λ可按以下步骤计算:
(1)计算A的n个特征值λ1,λ2,…,λn(其中可能有相同的);
(2)逐个计算对应λ1,λ2,…,λn的特征向量,记为ξ1,ξ2,…,ξn;
(3)写出P与Λ:P=(ξ1,ξ2,…,ξn),
【典型例题】
例6.7.1 (单项选择题)下列矩阵中,不能相似对角化的是().

精解 首先,考虑选项A的矩阵
由于它有三个不同的特征值λ=1,2,3,
所以必可相似对角化,故A不能选.
其次,考虑选项B的矩阵
(记为B).它有二重特征值λ=1,由于1·E3-B
的秩为2,即r(1·E3-B)=2≠3-2(其中,3是矩阵的阶数,2是λ=1的重数),所以选项B的矩阵不可相似对角化.
因此本题选B.
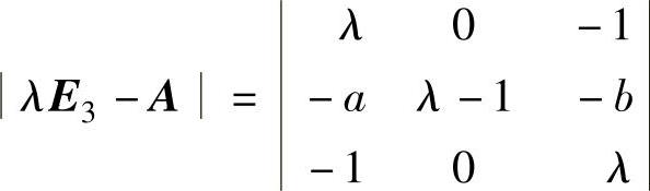
例6.7.2 设三阶矩阵
,
都与对角矩阵相似,求参数a,b的值.
精解 通常要确定两个相似矩阵A,B中包含的参数,是利用trA=trB和A=B,但对于本题这种方法却失效,因此从考虑A,B相似对角化入手.
由
=λ2(λ-1)-(λ-1)=(λ+1)(λ-1)2知,A有二重特征值λ=1.此时
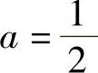
,所以,由A可相似对角化知
r(1·E3-A)=(A的3阶数)-(λ=12的重数)=1.从而有a+b=0.(1)
由于用-b-1代替A中元素b,A就变成B,所以由B可相似对角化得
a+(-b-1)=0,即a-b=1.(2)
由式(1)、式(2)得
,
例6.7.3 已知矩阵
,
相似.
(1)求x,y的值;
(2)求可逆矩阵P,使得P-1AP=B.
精解 (1)由A~B知A与B有相同的特征值及相同的迹,由此算出x与y的值.显然,B有特征值λ=-1,2,y.此外由

知A有一个特征值λ=-2.所以由A与B有相同特征值知y=-2.
由trA=trB,即-2+x+1=-1+2+y得x=2+y=2-2=0.
(2)将x=0代入A得

为计算P,先计算A的特征值与特征向量.
由B有特征值为-1,2,-2得A的特征值λ=-1,2,-2.(https://www.daowen.com)
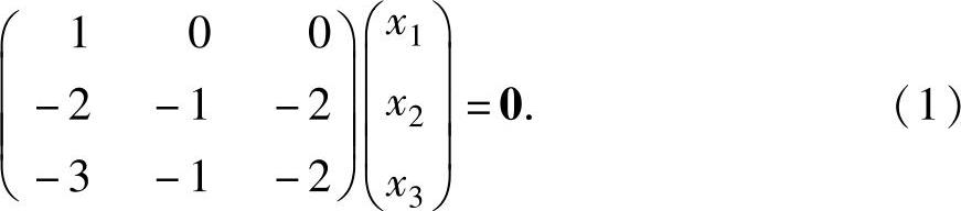
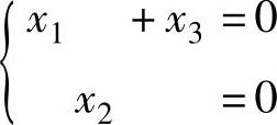
设A的对应λ=-1的特征向量为x=(x1,x2,x3)T,则x满足(-E3-A)x=0,即
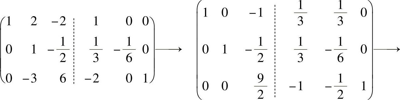
由于
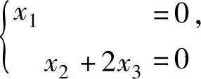
,所以式(1)与方程组

同解,从而式(1)有基础解系(0,-2,1)T.
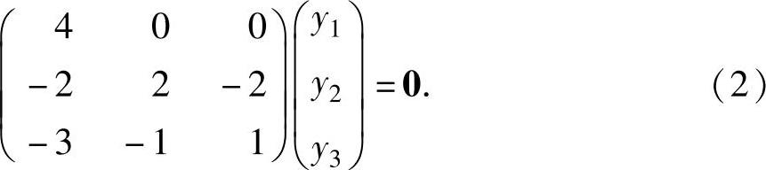
设A的对应λ=2的特征向量为y=(y1,y2,y3)T,则y满足
(2·E3-A)y=0,即
由于
,所
以式(2)与方程组
同解.从而式(2)有基础解系(0,1,1)T.
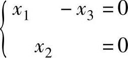
设A的对应λ=-2的特征向量为z=(z1,z2,z3)T,则z满足(-2E3-A)z=0,即
由于
,所以式
(3)与方程组
同解,从而式(3)有基础解系(1,0,-1)T.
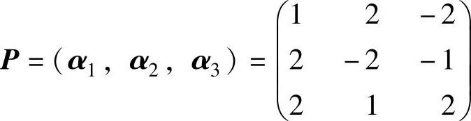
于是A有特征向量ξ1=(0,-2,1)T,ξ2=(0,1,1)T,ξ3=(1,0,-1)T,它们分别对应特征值-1,2,-2,所以,所求的

它们满足P-1AP=Λ=B.
例6.7.4 设矩阵
,问当k为何值时,A与对角矩阵相似,即存在
可逆矩阵P,使得P-1AP=Λ(对角矩阵)?并且求P及Λ.
精解 由于trA与|A|中都不含k,所以应从计算A的特征值入手,如有二重的,则其对应的特征矩阵秩应为1,由此确定k的值.而P和Λ则可按常用方法计算.
由于

所以,A有二重特征值λ=-1.显然,由

知,当且仅当k=0时,r(-E-A)=(A的3阶数)-(λ=-21的重数),即当且仅当k=0时A可相似对角化.
当k=0时,
,由式(1)知,它有特征值λ=1,-1(二重).
设对应λ=1的特征向量为x=(x1,x2,x3)T,则x满足
(E3-A)x=0,即
由于
,所以式
(2)与方程组
,
同解,其基础解系为ξ1=(1,0,1)T(即A的对应特征值λ=1的特征向量).
设对应λ=-1的特征向量为y=(y1,y2,y3)T,则y满足(-E3-A)y=0,即
,或2y1+y2-y3=0,其基础解系为ξ2=(1,-2,0)T和ξ3=(0,1,1)T(即A的对应特征值λ=-1的特征向量).
于是所求的
(可逆矩阵)及
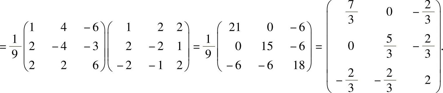
例6.7.5 设3阶矩阵A满足Aαi=iαi(i=1,2,3),其中,α1=(1,2,3)T,α2=(2,-2,1)T,α3=(-2,-1,2)T,求A.
精解 由题设A有三个不同的特征值,知A可相似对角化,因此只要找到满足P-1AP=Λ的P与Λ,即可得到A.
由于A有特征值1,2,3,且α1,α2,α3为对应的特征向量,所以记
(可逆矩阵)
时,有
,即
由于


所以,
将式(2)代入式(1)得

