六、矩阵相似
【主要内容】
1.矩阵相似的定义
设A,B都是n阶矩阵.如果存在n阶可逆矩阵P,使得B=P-1AP,则称矩阵A与B相似,也称A与B为相似矩阵,记为A~B.
2.矩阵相似的性质
设A,B,C都是n阶矩阵,则有以下性质:
(1)A~A.
(2)如果A~B,则B~A.
(3)如果A~B,B~C,则A~C.
(4)如果A~B,则AT~BT,Am~Bm(其中,m是正整数),λA~λB(其中,λ是常数),φ(A)~φ(B)(其中,φ(λ)=a0+a1λ+…+amλm是关于λ的多项式).
(5)如果A~B,则A=B,从而A,B同为可逆或不可逆.
(6)如果A~B,则当A可逆时,A-1~B-1,A∗~B∗.
(7)如果A~B,则λEn-A=λEn-B,从而A,B有相同的特征值,trA=trB,且当ξ是A的对应特征值λ的特征向量时,B有对应特征值λ的特征向量P-1ξ(其中,P是满足P-1AP=B的可逆矩阵).
(8)如果A~B,则A、B等价,从而r(A)=r(B).
注 设A,B都是n阶矩阵,则以下两点值得注意:
(ⅰ)当A与B有相同特征值时,A与B未必相似;
(ⅱ)当A与B等价时,A与B未必相似.
【典型例题】
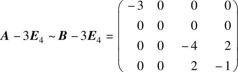
例6.6.1 (单项选择题)设矩阵A与B相似,其中

则矩阵A-3E4与A2-E4的秩之和为( ).
A.4 B.5 C.6 D.7
精解 由于
仅有不为零的二阶子式,所以它的秩为2.从
而r(A-3E4)=r(B-3E4)=2.
由于
,它的行列式不为零,所以它的秩为4.
从而r(A2-E4)=r(B2-E4)=4.
由此可知r(A-3E4)+r(A2-E4)=2+4=6.
因此本题选C.
例6.6.2 (单项选择题)设A是四阶矩阵,满足A2+A=O4.如果r(A)=3,则与A相似的矩阵只能是( ).

精解 设A的特征值为λ,则由题设A2+A=O4知λ满足λ2+λ=0,因此,A的特征值λ只能取0或-1.
显然,只有选项A,B,C的矩阵特征值为0与-1,但其中仅有选项C的矩阵的秩为3,所以与A相似的矩阵只可能是选项C的矩阵.(https://www.daowen.com)
因此本题选C.
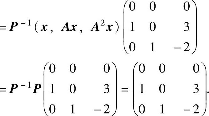
例6.6.3 已知三阶矩阵A与3维列向量x,Ax,A2x线性无关,且A3x=3Ax-2A2x.
(1)记P=(x,Ax,A2x),求三阶矩阵B,使得A=PBP-1,并求A的特征值;
(2)证明:对任意实数t,A3+tE3与B3+tE3相似.
精解 (1)B=P-1AP=P-1A(x,Ax,A2x)
=P-1(Ax,A2x,A3x)
=P-1(Ax,A2x,3Ax-2A2x)
由于A~B,所以

因此,A的特征值为λ=-3,0,1.
(2)利用矩阵相似的定义证明A3+tE3~B3+tE3.
由于有可逆矩阵P,使得
P-1AP=B.所以,对于任意实数t有
P-1(A3+tE3)P=P-1A3P+tP-1E3P
=(P-1AP)(P-1AP)(P-1AP)+tE3=B3+tE3,即A3+tE3~B3+tE3.
例6.6.4 设矩阵
,
,B=C-1A∗C,求
(1)矩阵A的所有特征值与特征向量;
(2)矩阵B的所有特征值与特征向量.
精解 (1)由λE3-A=0,算出A的特征值,然后对各个特征值求齐次线性方程组(λE3-A)x=0的非零解,得到对应的特征向量.由于
,所以,A的特征值为λ1=7,λ2=1(二重),从而A=7×12=7.
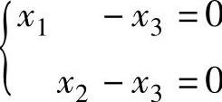
设A的对应λ1=7的特征向量为x=(x1,x2,x3)T,则x满足(7E3-A)x=0,即
,(1)由于
所以,式(1)与方程组
,同解,从而式(1)有基础解系x=(1,1,1)T.因此,A的对应特征值λ1=7的所有特征向量为
c1(1,1,1)T=(c1,c1,c1)T(其中,c1是任意非零常数).
设A的对应λ2=1的特征向量为y=(y1,y2,y3)T,则由A是实对称矩阵知
(x,y)=0,即y1+y2+y3=0.该方程有基础解系(-1,1,0)T与(-1,0,1)T.因此A的对应λ2=1的所有特征向量为c2(-1,1,0)T+c3(-1,0,1)=(-c2-c3,c2,c3)T(其中,c2,c3是任意不全为零的常数).
(2)先算出A∗的所有特征值与特征向量,然后利用B=C-1A∗C得到B的所有特征值与特征向量.
A∗的特征值
(二重),且对应μ1的所有特征向量为(c1,c1,c1)T(其中,c1是任意非零常数),对应μ2=7的所有特征向量为(-c2-c3,c2,c3)T(其中,c2,c3是任意不全为零的常数).
B的所有特征值为ν1=1,ν2=7(二重).为了计算它们对应的所有特征向量,先计算C-1.由于

所以,
,从而B的对应ν1=1的所有特征向量为
,
对应ν2=7的所有特征向量为

注 本题题解表明,要计算A∗,A-1,f(A)(f(λ)是关于λ的多项式),P-1AP(P是可逆矩阵)等比较复杂矩阵的特征值与特征向量,可从计算A的特征值与特征向量入手,然后利用特征值与特征向量的性质,得到A∗,A-1,f(A),P-1AP等的特征值与特征向量.