实对称矩阵正交相似对角化
【主要内容】
1.实对称矩阵的定义与性质
设A是对称矩阵(即AT=A),且每个元素都是实数,则称A为实对称矩阵.
设A是n阶实对称矩阵,则有以下性质:
(1)A的n个特征值都为实数.
(2)A的对应不同特征值的特征向量不仅线性无关,而且两两正交.
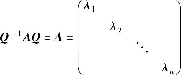
(3)A不仅可以相似对角化,而且还可以正交相似对角化,即可以找到正交矩阵Q,使得
(其中λ1,λ2,…,λn是A的n个特征值).
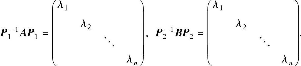
(4)A不仅可以合同对角化,即可以找到可逆矩阵P,使得
,而且可以正交合同对角化,即可以找到正交矩阵Q,使得Q-1AQ=Λ.
2.实对称矩阵特征向量的计算方法
实对称矩阵的特征向量可以按通常方法计算,但利用“实对称矩阵对应不同特征值的特征向量两两正交”这一性质,有时可较快地算出所有特征向量,现举例说明.
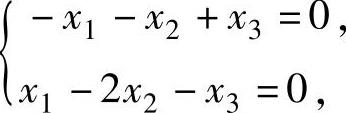
设三阶矩阵A的特征值为λ=1,2(二重),α=(1,-2,1)T是对应特征值λ=1的特征向量,则对应特征值λ=2的特征向量x=(x1,x2,x3)T与α正交,从而有
(α,x)=0,即x1-2x2+x3=0.该方程的基础解系为(2,1,0)T,(-1,0,1)T.所以对应特征值λ=2的所有特征向量为c1(2,1,0)T+c2(-1,0,1)T(其中c1,c2是任意不全为零的常数).
3.实对称矩阵正交相似对角化或正交合同对角化时,正交矩阵的计算方法
设A是n阶实对称矩阵,将它正交相似对角化或正交合同对角化时,满足Q-1AQ=
QTAQ=Λ(对角矩阵)的正交矩阵Q可按以下步骤计算:
(1)计算A的所有特征值λ1,λ2,…,λn及它们对应的特征向量α1,α2,…,αn;
(2)将α1,α2,…,αn正交单位化得ε1,ε2,…,εn;
(3)写出Q=(ε1,ε2,…,εn),
【典型例题】
例6.8.1 (单项选择题)设
,则A与B( ).
A.合同且相似 B.合同但不相似
C.相似但不合同 D.不合同也不相似
精解 从计算A的特征值入手.
由
知,A有特征值λ=4,0(三
重).由于A是实对称矩阵,所以存在正交矩阵Q,使得

从而A与B相似且合同.
因此本题选A.
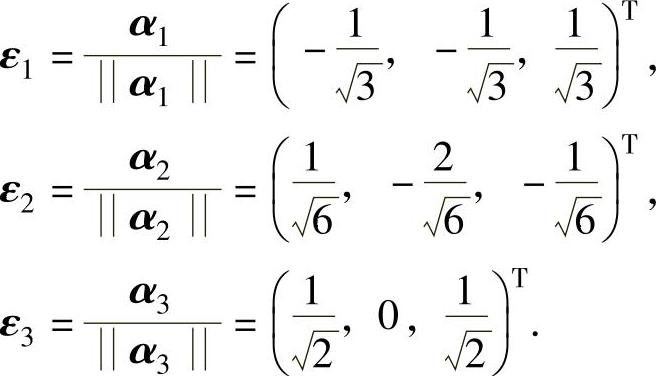
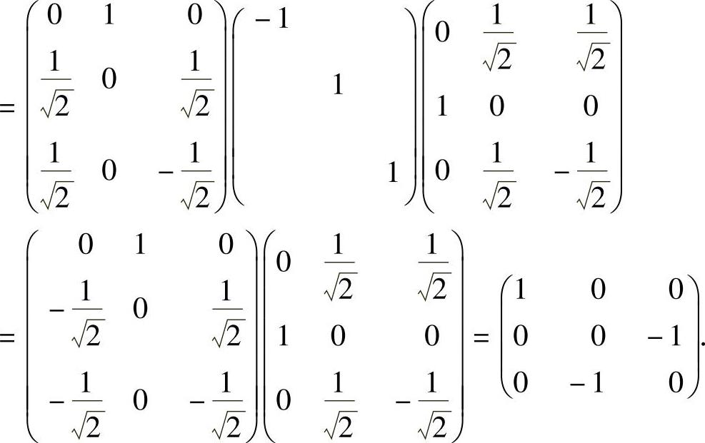
例6.8.2 设A是三阶实对称矩阵,其特征值为1,2,3,且α1=(-1,-1,1)T和α2=(1,-2,-1)T分别是A的对应特征值1,2的特征向量.试将A正交相似对角化,
即求三阶正交矩阵Q,使得
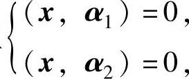
精解 设对应特征值3的特征向量为x=(x1,x2,x3)T,则由x与α1,α2都正交知x
满足方程组
即
它的基础解系为(1,0,1)T,从而是A的对
应特征值3的特征向量,记作α3=(1,0,1)T.
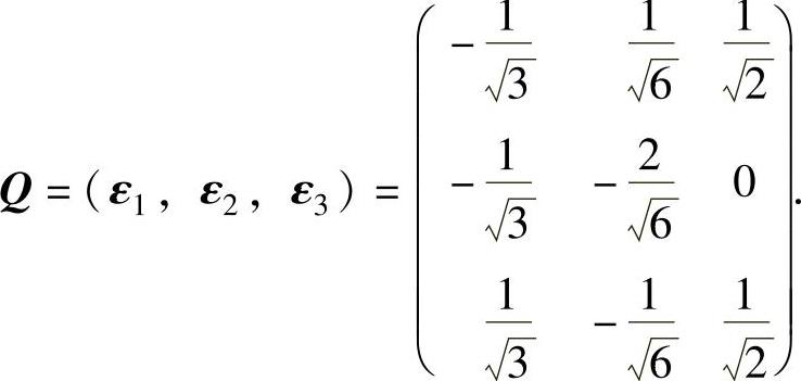
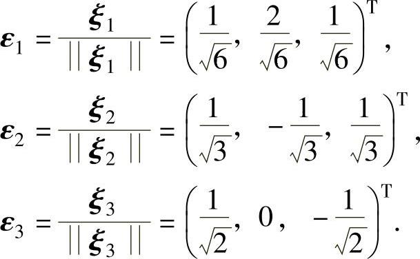
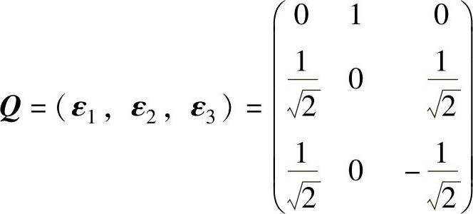
α1,α2,α3两两正交,现将它们单位化得

所以将A正交相似对角化的正交矩阵

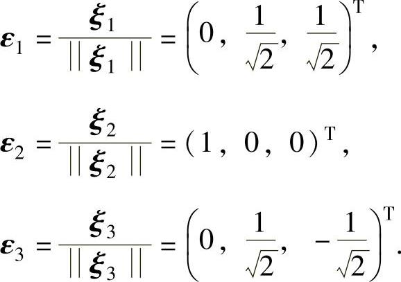
例6.8.3 设三阶实对称矩阵A的特征值为-1,1(二重),且ξ1=(0,1,1)T是对应特征值λ=-1的特征向量,求A.(https://www.daowen.com)
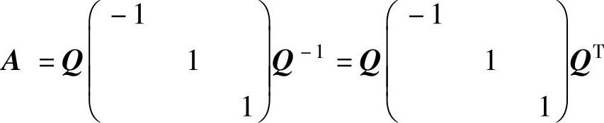
精解 由A是实对称矩阵可知,存在正交矩阵Q,使得
因此
从计算Q入手,为此先计算A的对应特征值λ=1的特征向量.
设对应特征值λ=1的特征向量为x=(x1,x2,x3)T,则x满足
(x,ξ1)=0,即x2+x3=0.该方程有基础解系(1,0,0)T,(0,1,-1)T,它们都是对应特征值λ=1的线性无关的特征向量,记ξ2=(1,0,0)T,ξ3=(0,1,-1)T.ξ1,ξ2,ξ3是两两正交的向量组,现将它们单位化:

记
(正交矩阵),则

从而

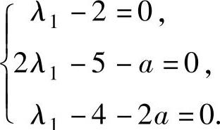
例6.8.4 设三阶实对称矩阵
,正交矩阵Q使A正交合同对角化,
其中,Q的第1列为
.求常数a,Q及对角矩阵Λ.
精解 从“实对称矩阵正交合同对角化,即为正交相似对角化”入手.
由于Q使A正交合同对角化,即能使A正交相似对角化,因此
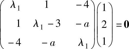
是A的一个特征向量,记它对应的特征值为λ1,则
(λ1E3-A)ξ1=0.将A,ξ1代入得
,即
解此方程组得λ1=2,a=-1.
将a=-1代入A得

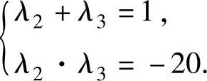
设A的另外两个特征值为λ2,λ3,则
{,即
解此方程组得λ2=5,λ3=-4.
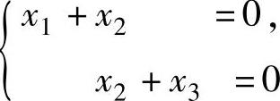
设A的对应于特征值λ2=5的特征向量为x=(x1,x2,x3)T,则x满足方程组
(5E3-A)x=0,即
由于

所以方程组(1)与方程组
同解,从而方程组(1)有基础解系(1,-1,
1)T,它即为A的对应于特征值λ2=5的特征向量,记为ξ2=(1,-1,1)T.
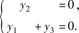
设A的对应于特征值λ3=-4的特征向量为y=(y1,y2,y3)T,则由它分别与ξ1,ξ2正交得
即
该方程组有基础解系(1,0,-1)T,它即为A的对应于特征值λ3=-4的特征向量,记为ξ3=(1,0,-1)T.
ξ1,ξ2,ξ3两两正交,现在将它们单位化得

因此
例6.8.5 设A,B都为n阶矩阵.
(1)如果A,B相似,证明:A,B的特征多项式相等;
(2)当A,B都为实对称矩阵时,证明:(1)的逆命题也成立.
精解 (1)用特征多项式定义证明.
由于A~B,所以存在n阶可逆矩阵P,使得P-1AP=B,于是
A的特征多项式=λEn-A=P-1(λEn-A)P=λEn-P-1AP
=λEn-B=B的特征多项式.
(2)设n阶矩阵A,B的特征多项式相等,则A,B的特征值相同,记它们的特征值为λ1,λ2,…,λn,
由于A,B都是实对称矩阵,所以存在可逆矩阵P1和P2,使得

于是有P1-1AP1=P2-1BP2,即(P2P1-1)A(P1P2-1)=B,或(P1P2-1)-1A(P1P2-1)=B.由于P1P2-1是可逆矩阵,所以A~B.