二次型化标准形
【主要内容】
1.二次型的定义及其矩阵表示
称n个变量x1,x2,…,xn的二次齐次函数
f(x1,x2,…,xn)=a11x21+2a12x1x2+2a13x1x3+…+2a1nx1xn+
a22x22+2a23x2x3+…+2a2nx2xn+…+annx2n (1)(其中,aij是实系数,i,j=1,2,…,n)为n元二次型.
记aji=aij(i,j=1,2,…,n,i<j),则式(1)可以表示为
f(x1,x2,…,xn)=a11x21+a12x1x2+a13x1x3+…+a1nx1xn+
a21x2x1+a22x22+a23x2x3+…+a2nx2xn+…+
an1xnx1+an2xnx2+an3xnx3+…+annx2n.
记
(称为二次型(1)的矩阵,它是实对称矩阵,称它的秩r(A)为二次型(1)的秩),x=(x1,x2,…,xn)T,则二次型(1)有以下的矩阵表示形式:
f(x1,x2,…,xn)=xTAx.
2.二次型化标准形的方法
如果二次型中只含有变量的平方项(即它的矩阵是对角矩阵),则称这种二次型为标准形.
设二次型f(x1,x2,…,xn)=xTAx(其中,A是n阶实对称矩阵,x=(x1,x2,…,xn)T),则它有以下两种化标准形的方法:
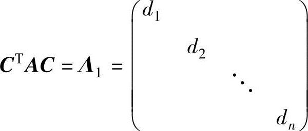
(1)可逆线性变换法(也称配方法)由于对实对称矩阵A,存在可逆矩阵C,使得
,所以令x=Cy(可逆线性变换,其中,y=(y1,y2,…,yn)T),则
f(x1,x2,…,xn)=yT(CTAC)y=d1y21+d2y22+…+dny2n(标准形).
上述的可逆矩阵可由二次型f(x1,x2,…,xn)经配方得到,具体步骤如下:
(ⅰ)如果f(x1,x2,…,xn)中含有变量xi(不妨设为x1)的平方项,则将含x1的项集中起来,将它们配成平方项,然后用同样的方法对其余变量进行配方,直到将f(x1,x2,…,xn)配成平方和的形式,即f(x1,x2,…,xn)=d1y21+d2y22+…+dny2n,由此根据x1,x2,…,xn到y1,y2,…,yn之间的可逆线性变换x=Cy可确定可逆矩阵C.
(ⅱ)如果f(x1,x2,…,xn)中不含有各个变量的平方项,则必有某个乘积项的系数不为零,如aij≠0,此时可先作变量代换

使f(x1,x2,…,xn)=g(z1,z2,…,zn),而g(z1,z2,…,zn)中出现变量的平方项,然后按(ⅰ)中所述的方法令z=C1y(其中,z=(z1,z2,…,zn)T)将g(z1,z2,…,zn)化为标准形e1y21+e2y22+…+eny2n.复合上述两个可逆线性变换得x=Cy,由此确定可逆矩阵C.
(2)正交变换法
由于对实对称矩阵A,存在正交矩阵Q,使得
(其中λ1,λ2,…,λn是A的n个特征值),所以令x=Qy(正交变换,其中y=(y1,y2,…,yn)T),则
f(x1,x2,…,xn)=yT(QTAQ)y=λ1y21+λ2y22+…+λny2n.
3.矩阵合同
(1)矩阵合同的概念
设A,B都是n阶矩阵.如果存在可逆矩阵C,使得CTAC=B,则称A与B合同,记为A≃B.
n阶实对称矩阵A必与某个n阶对角矩阵合同,即A可合同对角化.
设A,B,C都是n阶矩阵,则
(ⅰ)A≃A.
(ⅱ)设A≃B,则B≃A.
(ⅲ)设A≃B,B≃C,则A≃C.
(ⅳ)设A≃B,则AT≃BT,λA≃λB(λ是常数).
(ⅴ)设A≃B,则A与B同为可逆或不可逆.
(ⅵ)设A≃B,则当A可逆时,A-1≃B-1,A∗≃B∗.
(ⅶ)设A≃B,则A↔B,从而r(A)=r(B).
注(ⅰ)矩阵等价,相似与合同之间有以下的关系:
设A,B都是n阶矩阵,则

实对称矩阵等价,相似与合同之间有以下的关系:设A,B都是n阶实对称矩阵,则

(2)实对称矩阵合同对角化方法
要将n阶实对称矩阵A合同对角化,实质是寻找可逆矩阵C和对角矩阵Λ,使得CTAC=Λ,C和Λ可按以下步骤计算:
(ⅰ)构造n元二次型f(x1,x2,…,xn)=xTAx(其中,x=(x1,x2,…,xn)T);
(ⅱ)用配方法将f(x1,x2,…,xn)化为标准形d1y21+d2y22+…+dny2n,由x与y=(y1,y2,…,yn)T之间的可逆线性变换x=Cy得可逆矩阵C及对角矩阵

【典型例题】
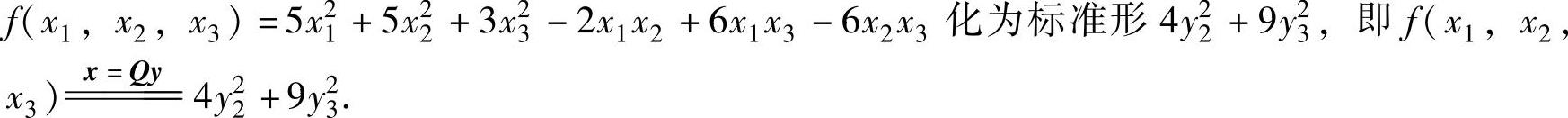
例6.9.1 已知二次型f(x1,x2,x3)=5x21+5x22+cx23-2x1x2+6x1x3-6x2x3的秩为2,求常数c,并用正交变换将其化为标准形.
精解 f的秩即为f的矩阵A的秩,所以先写出A并对它施行初等行变换.

所以由r(A)=2,得c=3.
为求正交变换x=Qy(其中x=(x1,x2,x3)T,y=(y1,y2,y3)T),先求出Q的特征值与对应的特征向量,然后将特征向量正交单位化即可.
由
(https://www.daowen.com)
得A的特征值为λ=0,4,9.
设对应λ=0的特征向量为α=(a1,a2,a3)T,则α满足方程组(0·E3-A)α=0,即
由于

所以,方程组(1)与方程组
同解,因此方程组(1)有基础解系(-1,1,
2)T,记ξ1=(-1,1,2)T,它即为A的对应λ=0的特征向量.
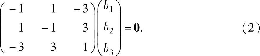
设对应λ=4的特征向量为β=(b1,b2,b3)T,则β满足方程组(4E3-A)β=0,即
由于
,所以式(2)有基础解系
(1,1,0)T,记ξ2=(1,1,0)T,它即为A的对应特征值λ=4的特征向量.
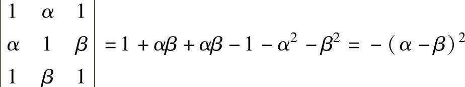
设对应λ=9的特征向量为γ=(c1,c2,c3)T,则由γ与ξ1和ξ2都正交有
即
或
它有基础解系(-1,1,-1)T,记ξ3=(-1,1,-1)T,它即为A的对应特征值λ=9的特征向量.
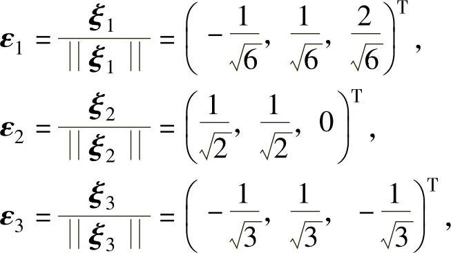
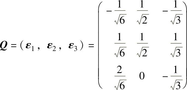
ξ1,ξ2,ξ3两两正交,现将它们单位化:

则
(正交矩阵),于是正交变换
将二次型

例6.9.2 用配方法将二次型f(x1,x2,x3)=2x1x2+2x1x3+2x2x3化为标准形,并求出对应的变量之间的可逆线性变换.
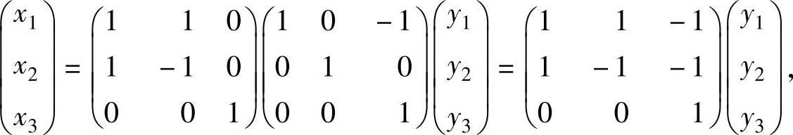
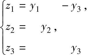
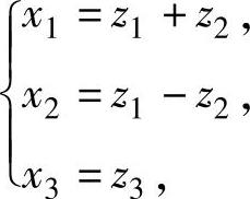
精解 由于所给二次型中只出现变量的乘积项,不出现平方项,所以需要作变量之间的可逆线性变换:
即
则
f(x1,x2,x3)=2(z21-z22)+2(z1z3+z2z3)+2(z1z3-z2z3)
=2z21-2z22+4z1z3
=2(z21+2z1z3+z23)-2z22-2z23
=2(z1+z3)2-2z22-2z23.
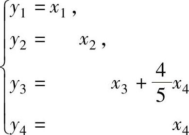
令
即
或
,(2)
则f(x1,x2,x3)=2y21-2y22-2y23(标准形).
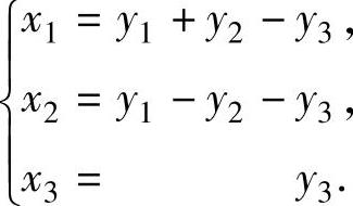
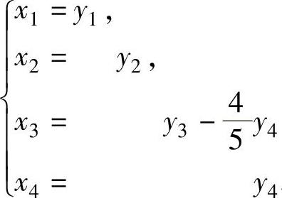
将式(2)代入式(1)得x1,x2,x3与y1,y2,y3之间的可逆线性变换为

即
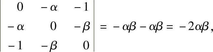
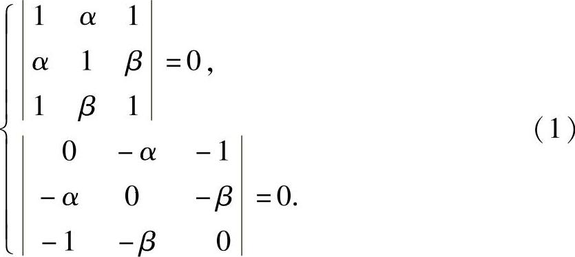
例6.9.3 设二次型f(x1,x2,x3)=x21+x22+x23+2αx1x2+2βx2x3+2x1x3经正交变换x=Qy(x=(x1,x2,x3)T,y=(y1,y2,y3)T)后化成标准形为f=y22+2y23,求常数α,β及正交矩阵Q.
精解 由于f(x1,x2,x3)经正交变换后化为标准形f=y22+2y23,所以f(x1,x2,x3)的矩阵

由此可知A有特征值0,1,2,于是有
,
{,即
由于
,
将它们代入式(1)得

解此方程组得α=β=0.于是
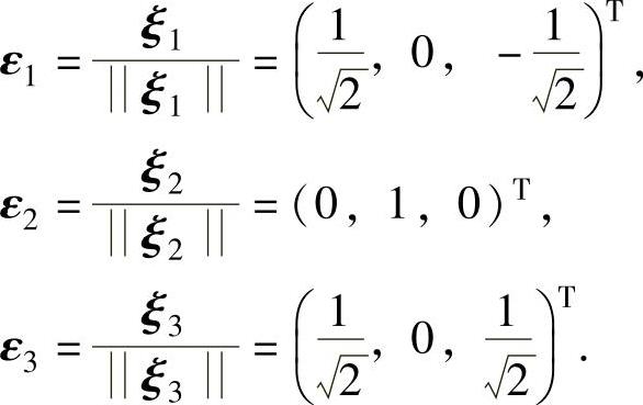
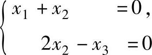
设对应于特征值λ=0的特征向量为α=(a1,a2,a3)T,则α满足方程组(0·E3-A)α=0,即
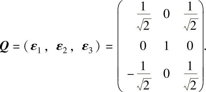
显然,它有基础解系(1,0,-1)T,记ξ1=(1,0,-1)T,它是A的对应于特征值λ=0的特征向量.
设对应于特征值λ=1的特征向量为β=(b1,b2,b3)T,则β满足方程组(1·E3-A)β=0,即
显然,它有基础解系(0,1,0)T,记ξ2=(0,1,0)T,它是A的对应于特征值λ=1的特征向量.
设对应于特征值λ=2的特征向量为γ=(c1,c2,c3)T,则γ满足方程组(2·E3-A)γ=0,即
显然,它有基础解系(1,0,1)T,记ξ3=(1,0,1)T,它是A的对应于特征值λ=2的特征向量.
ξ1,ξ2,ξ3两两正交,现将它们单位化:

于是所求的正交矩阵
例6.9.4 设实对称矩阵

(1)已知A的一个特征值为3,求实数y;
(2)求可逆矩阵P,使(AP)T(AP)为对角矩阵.
精解 (1)由A有特征值3可得
3E4-A=0,即
所以,y=2.
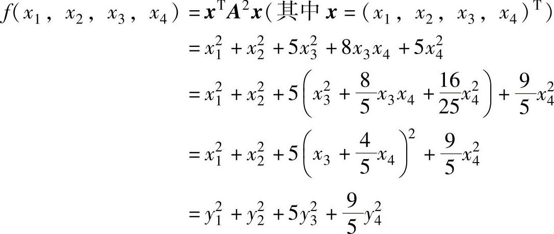
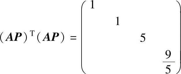
(2)由(AP)T(AP)=PTA2P知,求可逆矩阵P,使(AP)T(AP)为对角矩阵,就是求可逆矩阵P,使得

合同对角化,为此构造二次型,且用配方法将其化为标准形:
,
其中
即,
所以所求的可逆矩阵为,.
它使
(对角矩阵).