二次型化规范形
【主要内容】
1.规范形的概念
如果二次型是标准形,且其中系数只取1,-1,0三个数,则称这种二次型为规范形.
任意二次型f(x1,x2,…,xn)=xTAx(x=(x1,x2,…,xn)T)都可经变量之间的可逆线性变换化为规范形,而且规范形是唯一的,即系数为1的项数p(称为正惯性指数)与系数为-1的项数q(称为负惯性指数)是由原二次型唯一确定的(惯性定理).
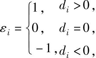
显然,p+q=r(A),且p,q,n-p-q分别为A的正、负、零特征值的个数.
以下结论是有用的:
两个n阶实对称矩阵A,B相似的充分必要条件是它们具有相同的特征值及重数;
两个n阶实对称矩阵A,B合同的充分必要条件是二次型xTAx与xTBx(其中,x=(x1,x2,…,xn)T)具有相同的规范形.
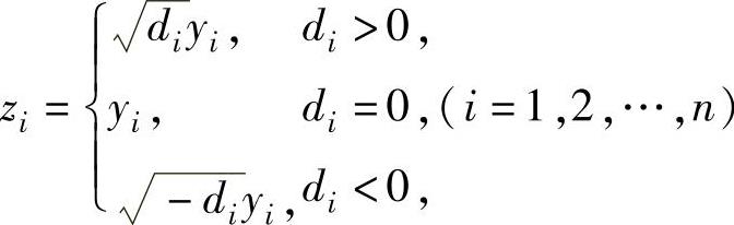
2.二次型化规范形的方法
设二次型f(x1,x2,…,xn)=xTAx(其中,x=(x1,x2,…,xn)T,A是n阶实对称矩阵),可按以下步骤将它化为规范形:
(1)将f(x1,x2,…,xn)化为标准形,即
f(x1,x2,…,xn)=d1y21+d2y22+…+dny2n;
(2)令
将f(x1,x2,…,xn)=d1y21+d2y22+…+dny2n
化为规范形,即
f(x1,x2,…,xn)=ε1z21+ε2z22+…+εnz2n,
其中,
(i=1,2,…,n).【典型例题】
例6.10.1 (单项选择题)设二阶矩阵
,则与A合同的矩阵为( ).

精解
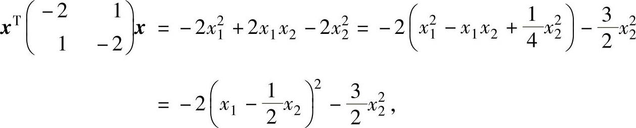
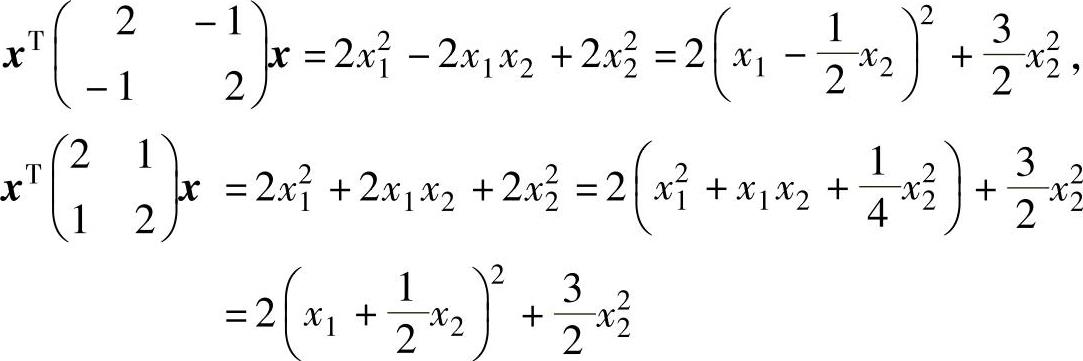
由于xTAx=x21+4x1x2+x22=(x21+4x1x2+4x22)-3x22=(x1+2x2)2-3x22=y21-y22(其中,
,
所以由选项A,B,C对应的二次型分别为


知它们都不可能与xTAx具有相同的规范形,即选项A,B,C都不能选.(https://www.daowen.com)
因此本题选D.
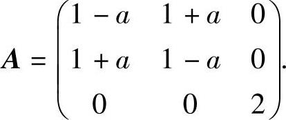
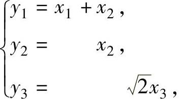
例6.10.2 设二次型f(x1,x2,x3)=(1-a)x21+(1-a)x22+2x23+2(1+a)x1x2的秩为2,求参数a,并用可逆线性变换x=Py(其中x=(x1,x2,x3)T,y=(y1,y2,y3)T)将f(x1,x2,x3)化为规范形(要求写出矩阵P).
精解 先根据f(x1,x2,x3)的秩为2确定a的值,并用配方法将f(x1,x2,x3)化为标准形,然后化为规范形及写出P.
记f(x1,x2,x3)的矩阵为A,则

于是,由f(x1,x2,x3)的秩为2,即r(A)=2得A=2[(1-a)2-(1+a)2]=0,所以a=0.
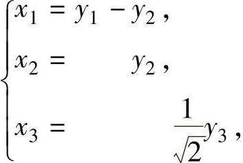
因此
=y21+y23(规范形),
其中
即
或者x=Py,其中
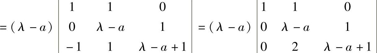
例6.10.3 设二次型f(x1,x2,x3)=ax21+ax22+(a-1)x23+2x1x3-2x2x3的规范形为y21+y22,求a.
精解 从f的矩阵
有两个正特征值与一个零特征值入手计算a的
值.
由于f的规范形为y21+y22,所以A的正惯性指数p=2,负惯性指数q=0.因此,A的三个特征值中有两个为正的,一个为零.
由

=(λ-a)[(λ-a)(λ-a+1)-2]
=(λ-a)(λ-a+2)(λ-a-1)知A有特征值a+1,a,a-2(由大到小排列),这三个特征值中最小的必为零,即a-2=0,由此得到a=2.
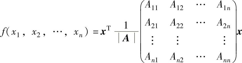
例6.10.4 设A为n阶实对称可逆矩阵,Aij是A=(aij)n×n的行列式A的元素aij的代数余子式(i,j=1,2,…,n)以及二次型

(1)记x=(x1,x2,…,xn)T,把f(x1,x2,…,xn)写成矩阵形式,并证明二次型f(x1,x2,…,xn)的矩阵为A-1.
(2)问二次型g(x1,x2,…,xn)=xTAx与f(x1,x2,…,xn)是否有相同的规范形,说明理由.
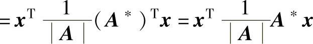
精解 (1)由

(由于A是对称矩阵,所以A∗也是对称矩阵)
=xTA-1x
及A-1是实对称矩阵知,f(x1,x2,…,xn)的矩阵为A-1.
(2)由于(A-1)TAA-1=(AT)-1(AA-1)=A-1En=A-1,即实对称矩阵A与A-1合同,所以,二次型g(x1,x2,…,xn)与f(x1,x2,…,xn)具有相同的规范形.