大数定律与中心极限定理
【主要内容】
1.大数定律
(1)切比雪夫大数定律
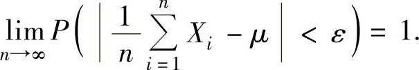
设X1,X2,…,Xn,…是相互独立的随机变量序列,具有相同的数学期望μ和方差σ2,则对任意ε>0有

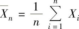
记
,则上式成为
,称为随机变量序列X1,
,…,
,…依概率收敛于μ,记为
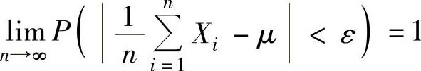
(2)辛钦大数定律
设X1,X2,…,Xn,…是相互独立且服从同一分布的随机变量序列,其数学期望都为μ,则对任意ε>0有
,
即
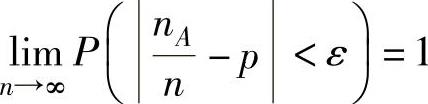
(3)伯努利大数定律
设在每次试验中事件A发生的概率为P(A)=p(0<p<1),在n次独立重复试验中,A发生的次数为nA,则对任意ε>0有
,
即
2.中心极限定理
(1)列维-林德伯格定理(独立同分布中心极限定理)
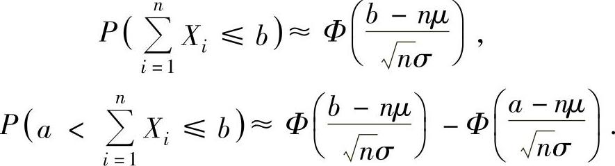
设X1,X2,…,Xn,…是相互独立同分布的随机变量序列,具有相同的数学期望μ和方差σ2,则对任意实数x有
是标准正态分布函数).
注 由上述定理可知,对于具有相同数学期望μ和方差σ2的独立同分布随机变量序列X1,X2,…,Xn,…,当n充分大时,对任意实数a,b(a<b),有

(2)棣莫弗-拉普拉斯中心极限定理
设随机变量序列X1,X2,…,Xn,…,其中Xn~B(n,p)(n=1,2,…),则对任意实数x有

注 由上述定理可知,对随机变量序列X1,X2,…,Xn,…,其中Xn~B(n,p)(n=1,2,…),当n充分大时,对任意实数a,b(a<b)有

【典型例题】
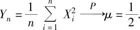
例7.20.1 设X1,X2,…,Xn,…是独立同分布的随机变量序列,它们服从参数为2的指数分布,则随机变量序列
依概率收敛于常数c,求c的值.
精解 由X1,X2,…,Xn,…独立同分布知X21,X22,…,X2n,…也独立同分布,且有相同的数学期望
,
所以由辛钦大数定律知

于是,所求的常数
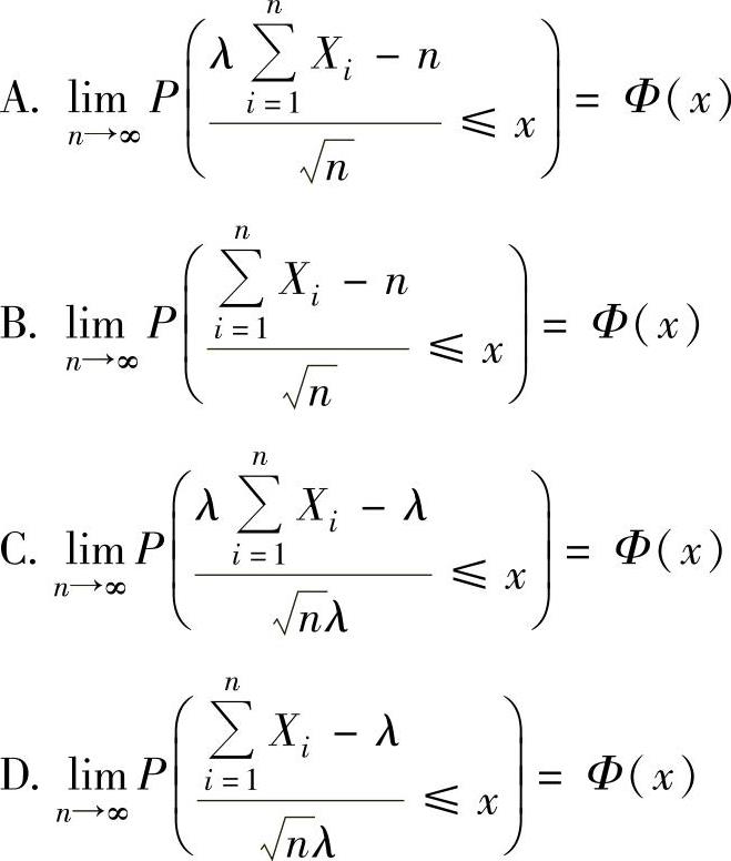
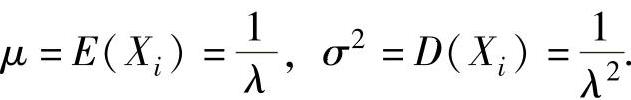
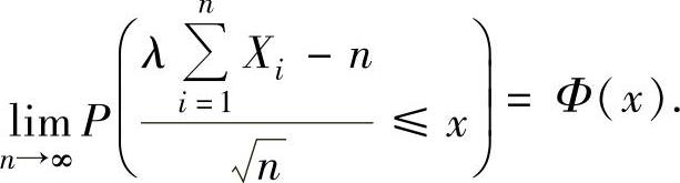
例7.20.2 (单项选择题)设随机变量序列X1,X2,…,Xn,…相互独立且同服从参数为λ(λ>0)的指数分布,则下列结论中正确的是().

其中,Φ(x)是标准正态分布函数.
精解 可用中心极限定理直接判定正确的选项.
由于X1,X2,…,Xn,…独立同分布,则对于i=1,2,…有(https://www.daowen.com)

所以由列维-林德伯格中心极限定理得
即
因此本题选A.
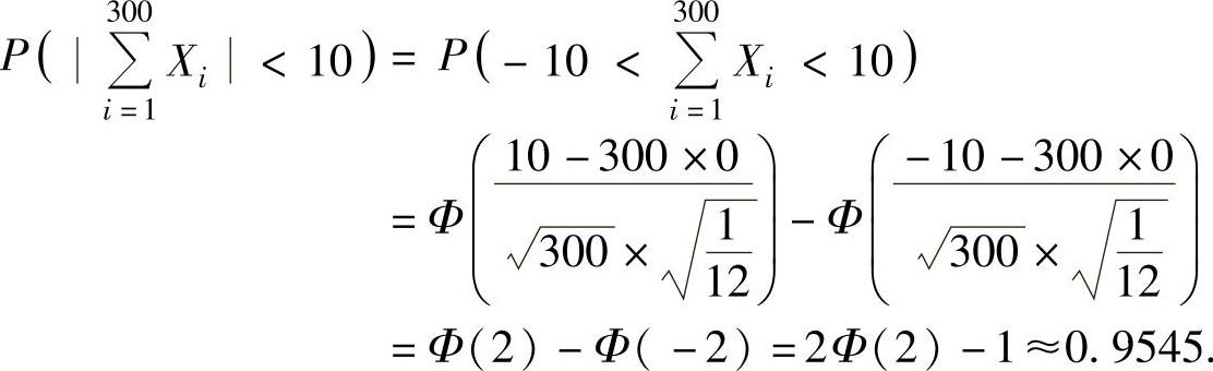
例7.20.3 计算机进行加法计算时,把每个加数取为最接近于它的整数来计算.设所有取整误差是相互独立的随机变量,且都服从[-0.5,0.5]上的均匀分布,求300个数相加时误差总和的绝对值小于10的概率.
精解 记Xi是第i个加数的取整误差,则μ=EXi=0,
(i=1,2,…,
300).所以所求的概率

例7.20.4 一生产线生产的产品成箱包装,每箱的重量是随机变量.假设每箱平均重50kg,标准差5kg.若用最大载重量为5t的汽车来运,求每辆车最多可以装多少箱,才能保证不超载的概率大于0.977(注:(标准差)2=方差).
精解 设每辆车最多可以装n箱,而每箱的重量是随机变量,记为Xi(i=1,2,…,n).虽然不知道Xi服从什么分布,但它们独立同分布,且EXi=50,DXi=52=25(i=1,2,…,n).于是,由列维-林德伯格中心极限定理知,

查表得 Φ(2)=0.977,所以式(1)成为

由于Φ(x)是单调增加函数,所以有

解此不等式得n<98.0199.由此可知,每辆车最多装98箱,才可以保证不超载的概率大于0.977.
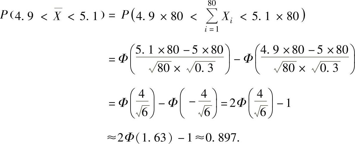
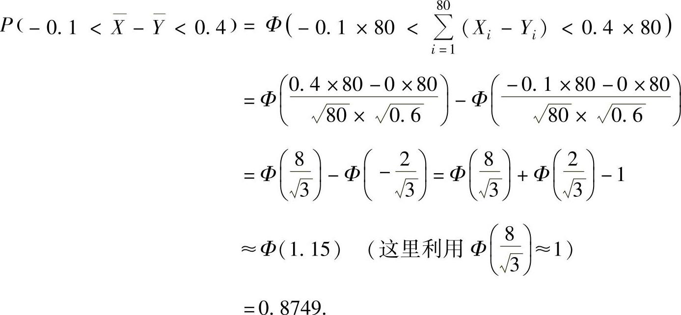
例7.20.5 随机地选取两组学生,每组80人,分别在两个实验室里测量某种化合物的pH值.各组测量结果是随机变量,它们相互独立同分布,其数学期望与方差分别为5和0.3,以
,
分别表示第一组和第二组所得结果的算术平均值.求概率P(4.9<
<5.1)和
精解 设第一组学生测量结果为Xi(i=1,2,…,80),第二组学生测量结果为Yi(i=1,2,…,80),则由题设知
μ=EXi=EYi=5,DXi=DYi=0.3(i=1,2,…,80).所以,由列维-林德伯格中心极限定理知

容易知道,μ1=E(Xi-Yi)=EXi-EYi=5-5=0,
σ21=D(Xi-Yi)=DXi+DYi=0.3+0.3=0.6(i=1,2,…,80),
所以,由列维-林德伯格中心极限定理得

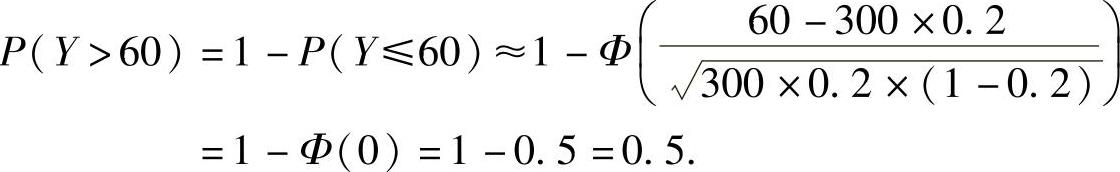
例7.20.6 一食品店有三种蛋糕出售,由于售出哪一种蛋糕是随机的,因而售出一块蛋糕的价格是一个随机变量,它取1(元),1.2(元),1.5(元)各个值的概率分别为0.3,0.2,0.5.已知某天售出300块蛋糕,求:
(1)这天收入多于400(元)的概率;
(2)这天售出价格为1.2(元)的蛋糕多于60块的概率.
精解 (1)记Xi是售出的第i块蛋糕的价格,i=1,2,…,300,则X1,X2,…,X300独立同分布,i=1,2,…,300,Xi的分布律为

从而μ=EXi=1×0.3+1.2×0.2+1.5×0.5=1.29,
σ2=DXi=(1-1.29)2×0.3+(1.2-1.29)2×0.2+(1.5-1.29)2×0.5=0.0489,于是,由列维-林德伯格中心极限定理得


(2)记Y是售出的价格为1.2(元)的蛋糕块数,则Y~B(300,0.2).于是由棣莫弗-拉普拉斯中心极限定理知,
