随机变量的协方差与相关系数
【主要内容】
1.随机变量协方差的定义与性质
设(X,Y)是二维随机变量.如果E[(X-EX)(Y-EY)]存在,则称Cov(X,Y)=E[(X-EX)(Y-EY)]为X与Y的协方差.
协方差有以下性质:设X,X1,X2,Y是随机变量,则
(1)Cov(X,Y)=Cov(Y,X);
(2)Cov(X,c)=0(其中c是常数);
(3)Cov(c1X,c2Y)=c1c2Cov(X,Y)(其中,c1,c2是常数);
(4)Cov(X1+X2,Y)=Cov(X1,Y)+Cov(X2,Y);
(5)当X与Y相互独立时,Cov(X,Y)=0;
(6)D(X±Y)=DX+DY±2Cov(X,Y);
(7)Cov(X,Y)=E(XY)-EX·EY(协方差可以按定义计算,但在许多场合下按这个公式计算).
2.随机变量相关系数的定义与性质设(X,Y)是二维随机变量,如果DX>0,DY>0,则称
为X与Y的相关系数,相关系数ρXY有以下性质:
(1)ρXY≤1;
(2)ρXY=1的充分必要条件是存在常数a,b,使得P(Y=aX+b)=1,特别地,当ρXY=1时,称X与Y正相关,此时上述的a>0;当ρXY=-1时,称X与Y负相关,此时上述的a<0.
3.随机变量相关性的定义
设(X,Y)是二维随机变量.如果X与Y的相关系数ρXY=0,则称X与Y不相关;否则称为相关.
随机变量X与Y的相关性与独立性有以下的关系:
(1)当X与Y相互独立,且DX>0,DY>0时,X与Y不相关;
(2)当X与Y不相关时,X与Y未必相互独立;
(3)当X与Y不独立时,且DX>0,DY>0时,X与Y未必相关;
(4)当X与Y相关时,X与Y不独立.
特别地,当(X,Y)~N(μ1,μ2,σ21,σ22,ρ)时,X与Y的相关系数ρXY=ρ,并且
(1)X与Y不相关的充分必要条件是ρ=0;
(2)X与Y不相关与独立等价.
【典型例题】
例7.18.1(单项选择题)设随机变量X~N(0,1),Y~N(1,4),且X与Y的相关系数ρXY=1,则( ).
A.P(Y=-2X-1)=1 B.P(Y=-2X+1)=1
C.P(Y=2X-1)=1 D.P(Y=2X+1)=1
精解 由ρXY=1知X与Y正相关,即Y=aX+b,使得P(Y=aX+b)=1,a>0.所以选项A和B都不能选.此外,对选项C,EY=E(2X-1)=-1,这与题设EY=1矛盾,所以选项C也不能选.(https://www.daowen.com)
因此本题选D.
例7.18.2 (单项选择题)设随机变量X,Y都服从正态分布,且它们不相关,则( ).
A.X与Y一定独立 B.(X,Y)服从二维正态分布
C.X与Y未必独立 D.X+Y服从正态分布
精解 由X与Y都服从正态分布未必能推出(X,Y)服从二维正态分布,所以,虽然X与Y不相关,但X与Y未必独立.
因此本题选C.
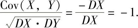
例7.18.3 (单项选择题)将一枚硬币重复掷n次,用X和Y来分别表示正面向上和反面向上的次数,则X与Y的相关系数为( ).
A.
B.0C.
D.1
精解 按相关系数的定义计算,即先算出DX,DY以及Cov(X,Y).
由于X和Y都服从
,其中Y=n-X,所以
,
Cov(X,Y)=Cov(X,n-X)=-Cov(X,X)=-DX.
从而X与Y的相关系数为

因此本题选A.
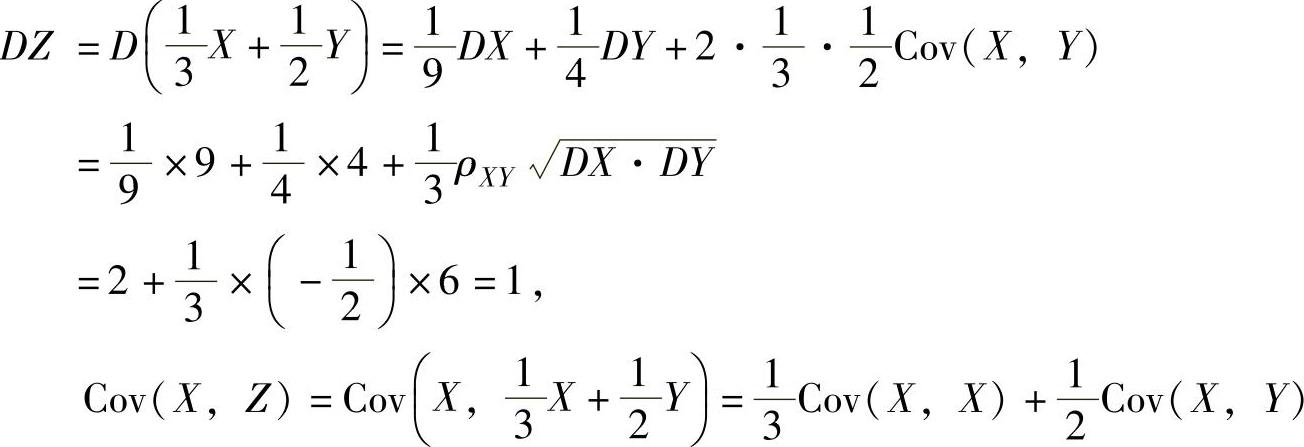
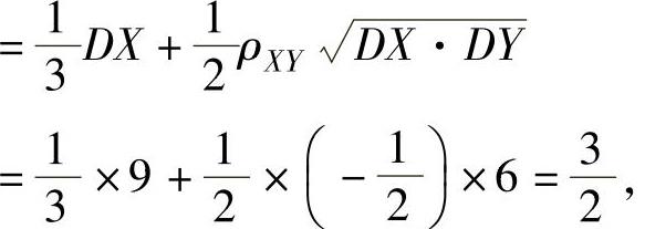
例7.18.4 设随机变量X~N(1,32),Y~N(0,22),且X与Y的相关系数
记
,求X与Z的相关系数ρXZ.
精解 按相关系数的定义计算,即先算出DX,DZ以及Cov(X,Z).由于DX=9,DY=4,


所以,
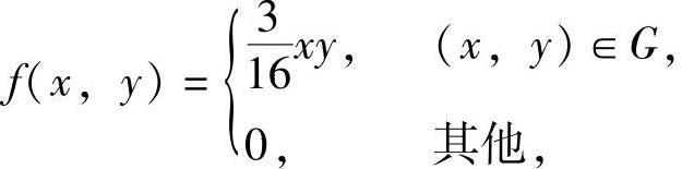
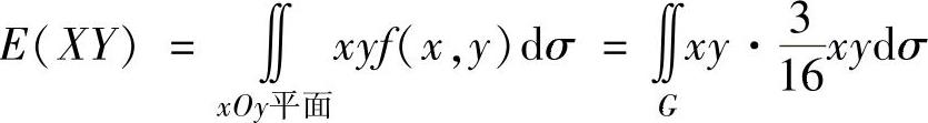
例7.18.5 设二维随机变量(X,Y)的概率密度为


图 7.18.5
其中G={(x,y)0≤x≤2,0≤y≤x2}(如图7.18.5中的阴影部分所示),求Cov(X,Y).
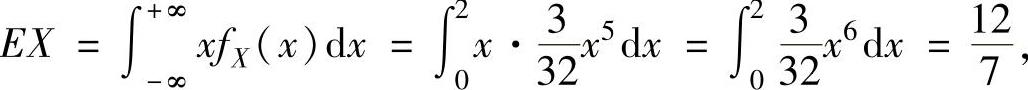
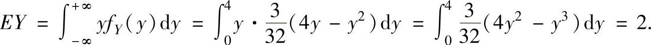
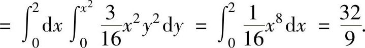
精解 利用公式Cov(X,Y)=E(XY)-EX·EY计算Cov(X,Y),为此先算出EX,EY以及E(XY).
分别记(X,Y)的关于X和关于Y的边缘概率密度为fX(x),fY(y),则
所以,

此外,

于是