随机变量的方差与矩
【主要内容】
1.随机变量方差的定义与性质
设X是随机变量,如果E(X-EX)2存在,则称DX=E(X-EX)2为X的方差,称D(X)为X的标准差.方差有以下性质.
(1)Dc=0(其中,c是常数);
(2)D(cX)=c2DX,D(X+c)=DX(其中,c是常数);
(3)设随机变量X1与X2相互独立,则
D(c1X1+c2X2)=c21DX1+c22DX2(其中,c1,c2是常数);
(4)DX=EX2-(EX)2.
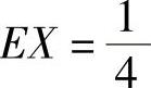
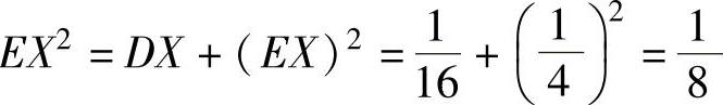
注 方差DX可以用定义计算,但在许多场合下是按公式DX=EX2-(EX)2计算.此外利用这个公式也可以计算EX2,即EX2=DX+(EX)2.
2.常用随机变量的方差
设X服从0-1分布,则DX=p(1-p).
设X~B(n,p),则DX=np(1-p).
设X~π(λ),则DX=λ.
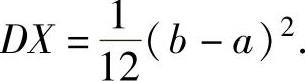
设X~U[a,b],则
设X~E(λ),则
设X~N(μ,σ2),则DX=σ2.
3.随机变量矩
设X是随机变量.如果EXk存在,则称它是X的k阶矩,记为μk,即μk=EXk;如果E(X-EX)k存在,则称它是X的k阶中心矩,记为νk,其中k=1,2,….
显然μ1=EX,ν2=DX.
【典型例题】
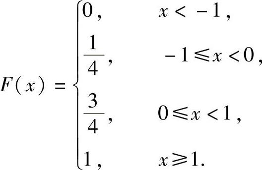
例7.17.1 求方差
,其中随机变量的分布函数为

精解 X是离散型随机变量,先算出它的分布律,然后计算
和
由于F(x)的间断点为x=-1,0,1,所以X的分布律为
即
所以,

因此,
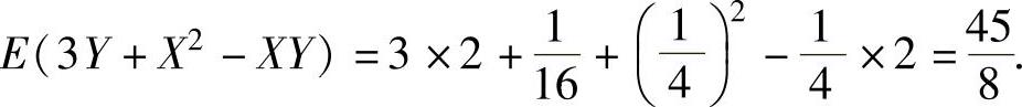
例7.17.2 设随机变量X与Y相互独立,X~E(4),Y~N(2,2),求E(3Y+X2-XY)和D(3Y+X2).
精解 由随机变量数学期望的性质知(https://www.daowen.com)
E(3Y+X2-XY)=3EY+EX2-E(XY)=3EY+DX+(EX)2-EX·EY,(1)
其中,
,
,EY=2.将它们代入式(1)得

D(3Y+X2)=D(3Y)+DX2 (由X与Y相互独立知X2与3Y也相互独立)
=9DY+EX4-(EX2)2,
其中,DY=2,
,(2)

将它们代入式(2)得

例7.17.3 设随机变量U在[-2,2]上服从均匀分布,记随机变量

求:(1)二维随机变量(X,Y)的分布律;
(2)方差D(X+Y).
精解 (1)(X,Y)全部可能取的值为(-1,-1),(-1,1),(1,-1)和(1,1),并且对应的概率为
P(X=-1,Y=1)=P(U≤-1,U>1)=P( )=0,
P(X=-1,Y=-1)=P(U≤-1,U≤1)=P(U≤-1)=P(-2≤U≤-1),(1)
由于U在[-2,2]上服从均匀分布,而[-2,-1]的长度是[-2,2]的长度的
,所以
,将它代入式(1)得
,
同样,
,
因此(X,Y)的分布律可用表表示为

(2)D(X+Y)=E((X+Y)2)-[E(X+Y)]2,(2)其中,由上述算得的(X,Y)的分布律可得

将它们代入式(2)得
D(X+Y)=2-02=2.
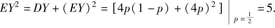
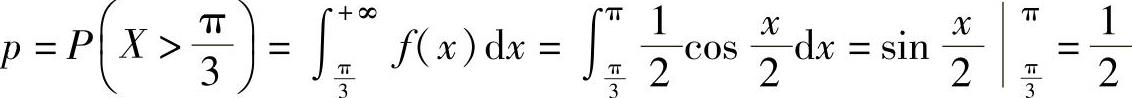
例7.17.4 设随机变量X的概率密度为

对X独立重复观察4次,用Y表示观察值大于
的次数,求EY2.
精解 Y~B(4,p),其中
,
所以