8.2 可分离变量的微分方程
2026年01月14日
8.2 可分离变量的微分方程

源于微分方程的经典曲线

变量分离微分方程的求解
案例1 细菌增长问题
细菌的增长率与总数成正比,如果培养的细菌总数在48h内由100增长为900,那么前24h后总数是多少?
解 由题意细菌的增长率与总数成正比有关系式:
![]()
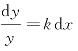
分离变量得:
,
两端积分得:y=Cekt(C为任意常数).
将初始条件y|t=0=100,y|t=48=900,
代入上式有:
求得:
,
则细菌数目与时间关系式为:
,
故前24h后细菌总数为:
.
MATLAB解法如下:

案例2 热力学冷却问题
将室内一支读数为40℃的温度计放到温度为25℃的室外5min后,温度计读数为35℃;利用牛顿冷却定律,试求(1)温度计温度T℃与时间tmin之间的函数关系式.(2)温度计自40℃上升至30℃所需经过的时间.
牛顿冷却定律:物体冷却的速度与物体和周围介质的温差成正比.
解
(1)取t=0为温度计放在室外的初始时刻,设经过tmin后温度计为T℃,即T=T(t),此时温度计变化的速度为
.
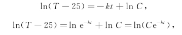
由牛顿冷却定律有温度计函数T(t)应满足的微分方程为

将方程两端分离变量得(https://www.daowen.com)

两端积分有

积分后得

化简后,通解即为T=25+Ce-kt(C为任意常数).
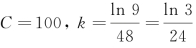
将初始条件
T|t=0=40,
代入上式得
C=15,
所求特解为
T=25+15e-kt.
接下来确定比例常数k,由已知条件t=5,T=35℃,代入特解T=25+15e-kt中,
有
35=25+15e-5k,
解得
k=0.0811.
所以温度计温度T℃与时间tmin之间的函数关系式为
T=25+15e-0.0811t.
(2)温度计自40℃下降至30℃所需经过的时间.
令T=30,代入温度计温度T℃与时间tmin之间的函数关系式得
30=25+15e-0.0811t,
解得所需经过的时间为
.
MATLAB解法如下:
