8.1 常微分方程的概念
案例1 一曲线通过点(1,2),且在该曲线上任一点M(x,y)处的切线的斜率为2x,求这曲线的方程.
解 设所求曲线的方程为y=f(x).根据导数的几何意义,可知未知函数y=f(x)应满足关系式
![]()
此外,未知函数y=f(x)还应满足下列条件:
![]()
把式(8.1.1)两端积分,得
![]()
把式(8.1.2)代入式(8.1.3),得
2=12+ C.
由此得出C=1.把C=1代入式(8.1.3),即得所求曲线方程
![]()
MATLAB解法如下:

案例2 将质点以初速度v0垂直向上抛出,不计阻力.试求其运动规律.
解 为了描述这个运动,取质点运动时所沿的垂直于地面的直线为x轴,x轴与地面的交点O为坐标原点建立直角坐标系,且规定背离地心的方向为x轴的正向.如图8-1所示.
设质点在时刻t的位置坐标为x(t),于是质点运动的瞬时速度v和瞬时加速度g可分别表示为

此外,x(t)还应满足下列条件:

图8-1
把式(8.1.5)两端对t积分一次,得

再积分一次,得
![]()
把条件式(8.1.6)带入式(8.1.7)、式(8.1.8)中,得C1=v0,C2=x0
于是有

这就是上抛运动规律x=x(t)所满足的运动规律.
关系式
和
都含有未知函数的导数,它们都是微分方程.

微分方程的概念
定义1
一般地,把含有未知函数的导数(或微分)的方程,称为微分方程;有时简称方程.
1.常微分方程和偏微分方程
定义2

微分方程的判别举例
在微分方程中只含有一个自变量的方程称为常微分方程;有两个或两个以上自变量的方程称为偏微分方程.
2.一阶与高阶微分方程
定义3
在微分方程中,所含未知函数导数的最高阶数,称为该微分方程的阶.当n=1时,称为一阶微分方程,当n>1时,称为高阶微分方程.
一阶常微分方程的一般显性形式为:y′=f(x,y).
一阶常微分方程的一般隐性形式为:F(x,y,y′)=0.
n阶显性方程的一般形式为:y(n)=f(x,y,y′,y″,…,y(n-1)).
n阶隐性方程的一般形式为:F(x,y,y′,y″,…,y(n))=0.
例如,方程
和
分别为一阶、二阶常微分方程.
方程y(4)-4y+10y″-5y′=sinx是四阶微分方程.
3.线性和非线性微分方程
定义4
如果微分方程F(x,y,y′,y″,…,y(n))=0的左端为未知函数及其各阶导数的一次有理整式,则称为线性微分方程,否则称为非线性微分方程.
n阶线性微分方程的一般形式为a0(x)y(n)+a1(x)y(n-1)+…an(x)y=g(x).其中a0(x)≠0,a0(x),a1(x),…,an(x),g(x)均为x的已知函数.
4.方程的解
定义5
对于微分方程F(x,y,y′,y″,…,y(n))=0,若将函数y=φ(x)代入方程后使其有意义且两端相等,即F(x,φ(x),φ′(x),…,φ(n)(x))≡0,则称函数y=φ(x)为该方程的一个显式解.若方程的解是某关系式的隐函数,则称这个关系式为该方程的隐式解.(https://www.daowen.com)
方程的显式解和隐式解统称为微分方程的解.
5.通解、特解、初始条件
定义6
常微分方程的解的表达式中,可能包含一个或者几个任意常数,若其所包含的独立的任意常数的个数恰好与该方程的阶数相同,称这样的解为该微分方程的通解.满足某些条件的解称为微分方程的特解.
设微分方程中的未知函数为y=y(x),如果微分方程是一阶的,通常用来确定任意常数的条件是:
![]()
其中x0,y0都是给定的值;如果微分方程是二阶的,通常用来确定任意常数的条件是:x=x0时,y=y0,![]()
(或
).
其中x0,y0及都是给定的值.上述这种用于确定通解中任意常数的条件,称为初始条件(或初值条件).我们把满足初始条件的方程的解称为特解,也就是说,特解中不再包含任意常数.例如,案例1中,函数式(8.1.4)是微分方程满足初始条件的特解;案例2中,函数式(8.1.9)也是微分方程满足初始条件的特解.
6.初值问题
定义7
求微分方程y′=f(x,y)满足初始条件
解的问题,叫做一阶微分方程的初值问题,记作y′=f(x,y),
.
过定点的积分曲线:
微分方程是我们解决实际问题的有利工具,现将利用微分方程解决实际问题的基本步骤总结如下:
(1)建立起实际问题的数学模型,也就是建立反映这个实际问题的微分方程;
(2)求解该微分方程的通解;
(3)依据题目中的初始条件确定该微分方程的特解;
(4)用数学结果解释实际问题,从而预测到某些物理过程的特定性质,以便达到能动地改造世界,解决实际问题的目的.
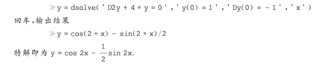
例1 验证函数y=C1cos2x+C2sin2x是微分方程y″+4y=0的通解.其中C1,C2是任意常数,并求满足初始条件y|x=0=1,y′|x=0=-1的特解.
解 因为y=C1cos2x+C2sin2x,
故y′=-2C1sin2x+2C2cos2x,
y″=-4C1cos2x-4C2sin2x.
将y,y′,y″代入原方程y=C1cos2x+C2sin2x中,得
-4C1cos2x-4C2sin2x+4C1cos2x+4C2sin2x=0.
故已给函数满足方程y″+4y=0,是它的解.又因为这个解中含有两个独立的任意常数,等于方程y″+4y=0的阶数,因此又是它的通解.
将初始条件y|x=0=1,y′|x=0=-1代入y,y′两式中,得
.得所求的特解为
.
MATLAB解法如下:
![]()

例2 验证函数y=C1ex+C2e2x(C1,C2为任意常数)为二阶微分方程y″-3y′+2y=0的通解.
解 y=C1ex+C2e2x,
y′=C1ex+2C2e2x,
y″=C1ex+4C2e2x.
将y,y′,y″代入方程y″-3y′+2y=0左端,得
C1ex+4C2e2x-3(C1ex+2C2e2x)+2(C1ex+C2e2x)
=(C1-3C1+2C1)ex+(4C2-6C2+2C2)e2x=0.
所以,函数y=C1ex+C2e2x是所给微分方程的解.又因为,这个解中有两个独立的任意常数,与方程的阶数相同,所以它是所给微分方程的通解.
课后提升
1.指出下列方程中,哪些是微分方程?并说出它们的阶数.

2.下面几种说法对吗?为什么?
(1)自变量个数不只有一个的微分方程称为常微分方程;
(2)含有两个任意常数的解必是二阶微分方程的通解.

3.指出下面微分方程的阶数,并回答是否线性的.是否为微分方程(x+y)dx=-xdy的相应解?若是解,说明是通解还是特解(其中C1,C2是任意常数).
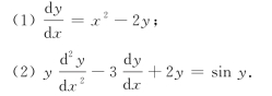
5.求下列微分方程满足所给初始条件的特解.
4.验证![]()

答案
1.(1)不是;(2)是 一阶;(3)是 二阶;(4)是 四阶.
2.(1)错;(2)错.
3.(1)一阶 线性;(2)二阶 非线性.
4.是 通解.
5.(1)y=3-2cos(x);(2)
.