8.2.1 可分离变量微分方程
2026年01月14日
8.2.1 可分离变量微分方程
定义1
一般形如

的方程,称为变量可分离的微分方程.
这类微分方程可以将两个不同的变量分离在等式的两端,即等式一端只含有一个自变量和其微分,另一端只含有另一个变量和其微分,接着等式两端同时进行积分运算,即可求出通解.称这种方法叫分离变量法.
分离变量法的解法步骤:
(1)分离变量:

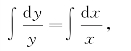
(2)两边同时积分:
;
(3)求解不定积分,得通解.
例1 求解微分方程
的通解.
解 显然y=0是该方程的解.
当y≠0时,方程可变形为
,
两端同时积分,即

积分后,求解即
(https://www.daowen.com)
化简得
![]()
即
,由于±
仍是任意常数,可记作C,于是,所给方程的通解为y=Cx,其中C为任意常数.
用MATLAB软件求解如下:

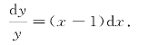
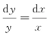
例2 求方程xydx-dy=ydx满足初始条件y|x=0=2的特解.
解 整理方程,得
y(x-1)dx=dy.
分离变量,得

两边积分,得

因此,原方程的通解为
将初始条件y|x=0=2代入得C=2.
故所求的特解为
![]()
用MATLAB软件求解如下:
