8.2.2 齐次微分方程(可化为分离变量的微分方程)
2026年01月14日
8.2.2 齐次微分方程(可化为分离变量的微分方程)
定义2
一般形如

的方程,称为齐次微分方程.
这类方程每一项变量的次数都相同.可采用“变量替换”法进行求解.
变量替换法的求解步骤:
(1)将原方程
变形为
;
(2)变量替换,令
(或y=ux),
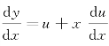
对方程y=ux两端求导,得
,
代入方程
中,得
.
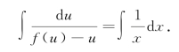
(3)分离变量,两端进行不定积分,即

(4)还原变量:求出积分后,再用
替换式中的u,即可得所求齐次微分方程的解.
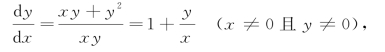
例3 求微分方程xydy=(xy+y2)dx的通解.
解 将原方程变形为

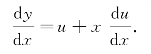
令
,则
y=ux,
对y=ux两端求导,得

将其代入原方程中,则
![]()
即

分离变量,得
![]()
两端积分,得

解得
![]()
将
代入上式,得
![]()
得所给方程通解为
y=xlnCx.(https://www.daowen.com)
用MATLAB软件求解如下:


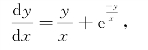
例4 求微分方程
满足初始条件y|x=1=1的特解.
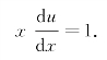
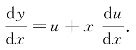
解 将原式变形为

令
,即
y=ux,
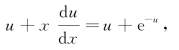
对y=ux两端求导,得

代入原方程中,原方程化为

即
![]()
分离变量,得
![]()
两端积分,得
![]()
解得
![]()
将
及初始条件y|x=1=1代入上式,得C1=e,
所给方程特解为
![]()
用MATLAB软件求解如下:

课后提升
1.求微分方程的通解.
(1)
;(2)y′=3ylnx;(3)
.
2.求微分方程(2+ex)yy′=2ex满足初始条件y|x=0=4的特解.
3.已知曲线在任意一点处切线的斜率等于这个点横坐标的2倍,并且该曲线过点M(0,4),求该曲线的方程.
答案
1.(1)
;(2)
;(3)
.
2.
.
3.y=x2+4.