习题1.4

习题1.4

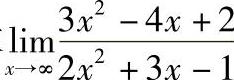
1.求978-7-111-33187-2-Chapter01-268.jpg.

2.求978-7-111-33187-2-Chapter01-269.jpg.

3.求978-7-111-33187-2-Chapter01-270.jpg.

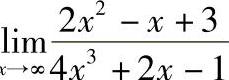
4.求978-7-111-33187-2-Chapter01-271.jpg.

5.求978-7-111-33187-2-Chapter01-272.jpg.

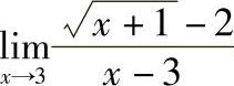
6.求978-7-111-33187-2-Chapter01-273.jpg.

7.求978-7-111-33187-2-Chapter01-274.jpg.

8.求978-7-111-33187-2-Chapter01-275.jpg.

9.求978-7-111-33187-2-Chapter01-276.jpg.

10.试确定常数a,使得978-7-111-33187-2-Chapter01-277.jpg.

11.下列陈述是否正确,如果正确请说明理由,如果错误请举出反例.

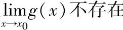
1)如果978-7-111-33187-2-Chapter01-278.jpg存在,但978-7-111-33187-2-Chapter01-279.jpg不存在,则978-7-111-33187-2-Chapter01-280.jpg不存在;2)如果978-7-111-33187-2-Chapter01-281.jpg978-7-111-33187-2-Chapter01-282.jpg都不存在,则978-7-111-33187-2-Chapter01-283.jpg不存在;3)如果978-7-111-33187-2-Chapter01-284.jpg存在,但978-7-111-33187-2-Chapter01-285.jpg在,那么978-7-111-33187-2-Chapter01-286.jpg不存在.