极限的运算法则
一、四则运算法则
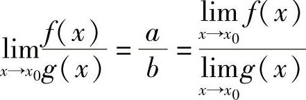
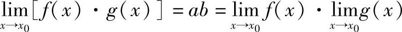
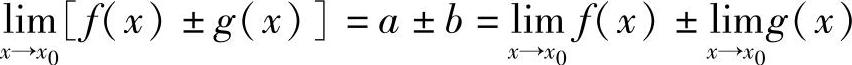
定理1.9 若
,
,则1)
;2)
;3)当b≠0时,
.
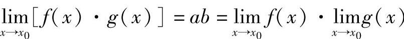
证 只证2).
因为
,存在δ0>0,当0<|x-x0|<δ0时,|f(x)|≤M.
对于任意给定的ε>0,存在δ1>0,当0<|x-x0|<δ1时,有f(x)-a<ε成立;
对于任意给定的ε>0,存在δ2>0,当0<|x-x0|<δ2时,有g(x)-b<ε成立;
取δ=min{δ0,δ1,δ2},则当0<|x-x0|<δ时,有
|f(x)·g(x)|-ab=|f(x)·g(x)-f(x)b+f(x)b-ab|≤|f(x)|·|g(x)-b|+|b||f(x)-a|<Mε+|b|ε=(M+|b|)ε
即
.定理的1)、2)可推广到有限多个函数的和或积的情形.作为2)的特殊情形,有
(c为常数),
.
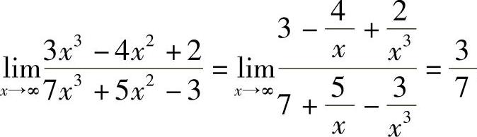
例1 求
.
解
.
例2 求
.
解
.
从例1和例2可以看出,对于有理整函数(多项式)或有理分式函数(分母不为零),求其极限时,只要把自变量x的极限值代入函数就可以了.
对于多项式函数
对于有理分式函数
,其中,P(x)和Q(x)均为多项式,且Q(x0)≠0.
则
.
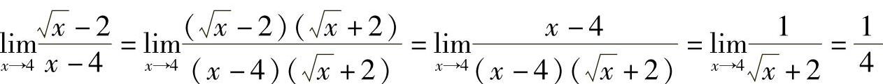
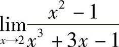
例3 求
.
解 当x→2时,x≠2,x-2≠0.所以
.
例4 求
.
解
.
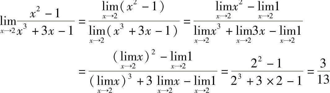
例5 求
.
解
.
若Q(x0)=0,则不满足定理条件,不能用上述结论,需采用其他手段.
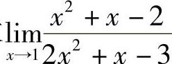
例6 求
.
解 当x→1时,分子、分母均趋于0,因为x≠1,约去公因子(x-1),所以
.(https://www.daowen.com)
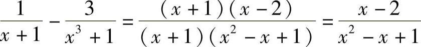
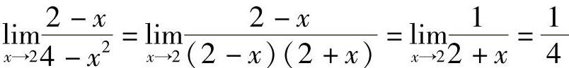
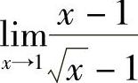
例7 求
.
解 当x→-1时,
和
的极限不存在,故不能直接用定理1.9的结论,但当x≠-1时,

所以
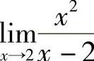
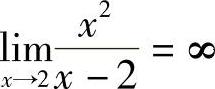
例8 求
.
解 当x→2时,(x-2)→0,故不能直接用定理1.9的结论,由于x2→4,可以考虑:
,由此可知
在x→2时,函数值无限增大,把它记为
.
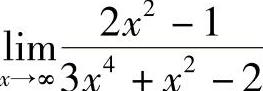
例9
.
解
.
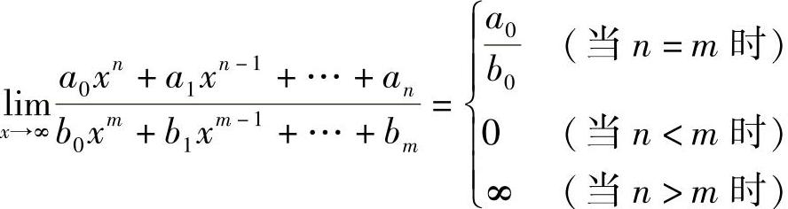
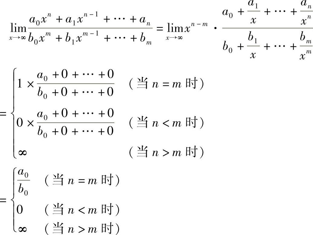
例10 设a0≠0,b0≠0,m、n为自然数,则
证 当x→∞时,分子、分母极限均不存在,故不能用定理1.9的结论,先变形:.

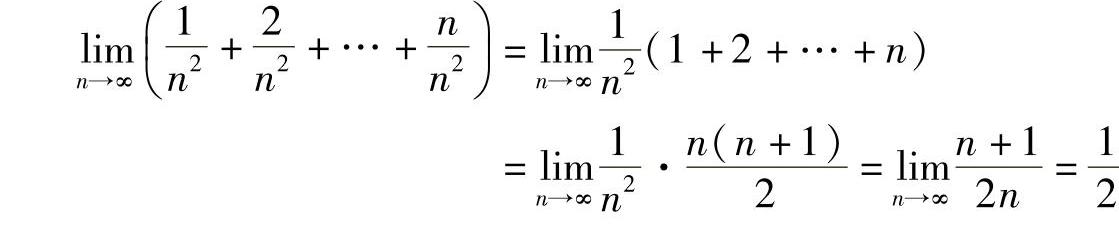
例11 求
.
解 当n→∞时,这是无穷多项相加,故不能直接用定理1.9的结论,先变形:
.二、复合函数的极限运算法则
定理1.10 设
,且当x满足0<|x-x0|<δ1时,φ(x)≠a,又
,则有

证 由
,对于任意给定的ε>0,存在η>0,当0<u-a<η时,有
|f(u)-A|<ε
又因为
,则对上述η>0,存在δ2>0,使得当0<|x-x0|<δ2时,有
|φ(x)-a|<η
取δ=min{δ1,δ2},则当0<|x-x0|<δ时,有
0<|φ(x)-a|=|u-a|<η
故|f(φ(x))-A|=|f(u)-A|<ε
结论成立.
若定理中
,类似可证
.
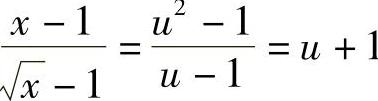
例12 求
.
解 令
,则
,从而
1,故