习题1.3

习题1.3

1.讨论当x→∞时,函数978-7-111-33187-2-Chapter01-208.jpg的变化情况.

2.设函数fx)=sinx.讨论当x→∞时,函数的变化情况.

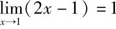
3.根据极限定义证明978-7-111-33187-2-Chapter01-209.jpg.

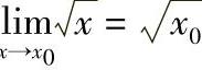
4.设x0>0,证明978-7-111-33187-2-Chapter01-210.jpg.

5.证明xlim978-7-111-33187-2-Chapter01-211.jpg.

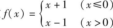
6.设函数978-7-111-33187-2-Chapter01-212.jpg试讨论函数fx)在x=0处的极限.

7.讨论978-7-111-33187-2-Chapter01-213.jpg978-7-111-33187-2-Chapter01-214.jpg,当x→0时的左、右极限.

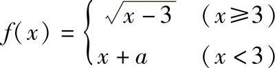
8.已知978-7-111-33187-2-Chapter01-215.jpg,且978-7-111-33187-2-Chapter01-216.jpg存在,求a.