第一节 导数
一、引例
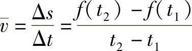
1.做变速直线运动物体的速度
设物体沿横轴运动,路程s是时间t的函数s=f(t).
如果物体的运动是匀速的,当时间由t1改变到t2时,在这一段时间里的平均速度定义为
.
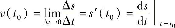
如果物体的运动是变速的,可以用它在每一时刻t0的瞬时速度v(t0)来更好地反映物体运动的状况.
当时间由t0改变到t0+Δt时,以平均速度v作为瞬时速度v(t0)的近似值.显然Δt越接近0,平均速度v就越接近v(t0),v在Δt趋于0时的极限就是物体在时刻t0的瞬时速度的准确值,如下:

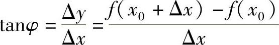
2.曲线的切线
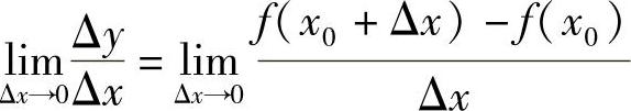
设函数y=f(x)的图形如图2-1所示,过曲线y=f(x)上的一点P0(x0,y0),作这条曲线的切线.在曲线上另取一点P(x0+Δx,y0+Δy),过这两点可以作一条割线P0P,倾斜角为φ.

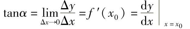
当Δx→0时,点P0趋于P,割线P0P的极限位置就是曲线过点P0的切线P0T,此时φ的极限为切线的倾斜角α,切线斜率为

图2-1

以上两个例子,具体含义不同,但是抽象的极限表达式却是一致的,称这种特殊的极限为函数的导数.
二、导数的概念
1.导数定义
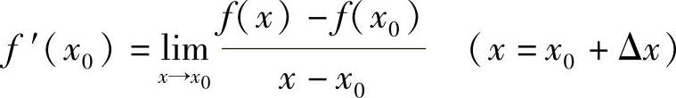
定义2.1 设函数y=f(x)在点x0的某个邻域内有定义,当自变量x在点x0处取得增量Δx(Δx≠0)时,函数f(x)相应地取得增量Δy=f(x0+Δx)-f(x0).如果极限

存在,则称函数f(x)在点x0处可导,此极限称为函数f(x)在点x0处的导数(或微商),记为f′(x0)或
.
反之,若此极限不存在,则称函数f(x)在点x0处不可导.
由此定义可知,第一个引例中的瞬时速度是路程s对时间t的导数,即

第2个引例中的切线斜率就是函数y对自变量x的导数,即

导数定义有时候也可以写成其他形式,如

或
若函数f(x)在区间I可导,则对任意x∈I,都对应着一个导数值f′(x),则f′(x)也是区间I上的函数,称为函数f(x)在区间I上的导函数,简称为导数,记为f′(x),y′或
.
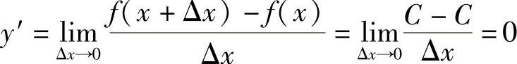
例1 求函数f(x)=C(C为常数)的导数.
解
.
例2 求函数f(x)=xn(n∈N+)在点x=a处的导数.
解
.
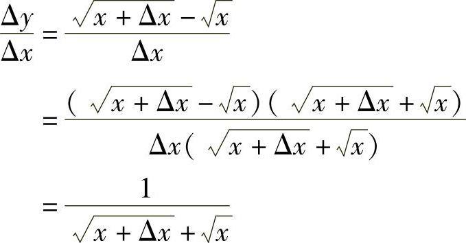
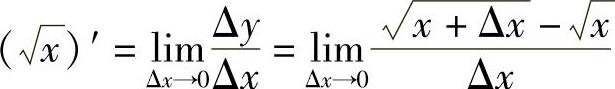
例3 求函数f(x)=x(x>0)的导数.
解 由
有
.
可以证明,对任意的实数α,有(xα)′=αxα-1.
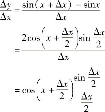
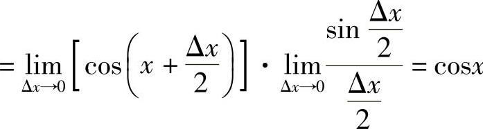
例4 求正弦函数f(x)=sinx的导数.
解 由
有
.
同理,余弦函数cosx在定义域R内也可导,且
(cosx)′=-sinx.
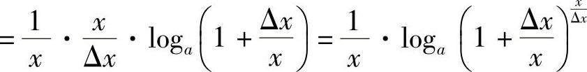
例5 求对数函数f(x)=logax(a>0,且a≠1,x>0)在x的导数.
解 由
(https://www.daowen.com)
有
,特别地,当a=e时,
.
2.导数的几何意义
由第二个引例可知,导数的几何意义(见图2-1)是:若曲线的方程是y=f(x),则曲线在点P0(x0,y0)处的切线斜率就是f(x)在点x0处的导数f′(x0).
由此可得曲线在点x0处切线的点斜式方程为
y-y0=f′(x0)(x-x0).
法线方程为

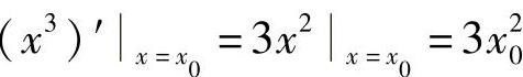
例6 求曲线y=x3在点P(x0,y0)处的切线与法线方程.
解 由于
,所以y=x3在P(x0,y0)处的切线方程为y-y0=3x20(x-x0)
当x0≠0时,法线方程为

当x0=0时,法线方程为x=0.
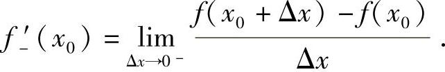
3.左、右导数
定义2.2 设函数y=f(x)在点x0的某邻域内有定义,若左极限

存在,则称函数f(x)在x0左可导,并称此极限为函数f(x)在点x0处的左导数,记作f-′(x0),即

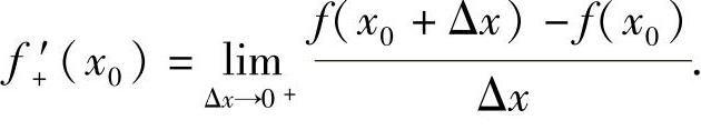
类似地,可以定义函数f(x)在点x0的右可导及右导数

左、右导数统称为单侧导数.
若f(x)在(a,b)内处处可导,且在点x=a处右可导,在点x=b处左可导,就称f(x)在[a,b]上可导.
由极限存在的充要条件,可得
定理2.1 函数f(x)在点x0处可导的充要条件是f(x)在x0的左、右导数都存在且相等.
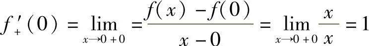
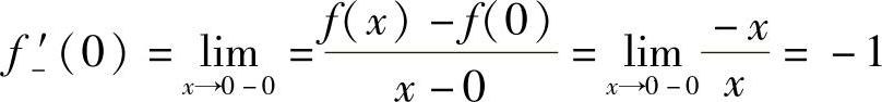
例7 讨论f(x)=x在点x=0处的连续性和可导性.
解 由题,
的图像如图2-2所示,因为

所以f(x)=|x|在点x=0连续;又因为

左、右导数不相等,所以在点x=0 f(x)=|x|不可导.

图2-2
三、可导与连续
定理2.2 若函数f(x)在x0可导,则函数f(x)在x0连续.
证 设在点x0处自变量的增量是Δx,相应地函数的增量是
Δy=f(x0+Δx)-f(x0)
由
.
则函数f(x)在点x0处连续.
本定理的逆命题不成立,例7就是一个反例.
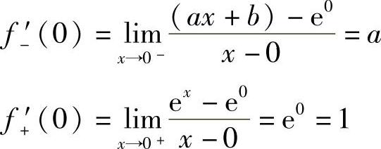
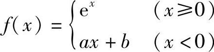
例8 求常数a、b,使得
在点x=0可导.
解 如果f(x)在点x=0可导,则该函数必在此点连续,故
=f(0),所以e0=a·0+b,则b=1.
如果f(x)在点x=0可导,则此点处的左、右导数必然存在且相等,

所以由f-′(0)=f+′(0),得a=1,此时f(x)在x=0点可导.
综上所述,所求常数为a=b=1.