习题2.1

习题2.1

1.求函数y=x2在点x=1处的导数.

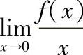
2.设f′x0)存在,求978-7-111-33187-2-Chapter02-42.jpg.

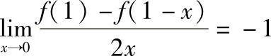
3.设f′(1)存在,且978-7-111-33187-2-Chapter02-43.jpg,求f′(1).

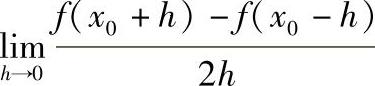
4.设fx)在x=0处连续,且978-7-111-33187-2-Chapter02-44.jpg存在,证明:fx)在x=0处可导.

5.求曲线978-7-111-33187-2-Chapter02-45.jpg在点(0,0)处的切线.

6.讨论函数978-7-111-33187-2-Chapter02-46.jpg在点x=0处的连续性与可导性.

7.设978-7-111-33187-2-Chapter02-47.jpg.

8.设曲线fx)=x2n在点(1,1)处的切线与x轴的交点为(an,0),求978-7-111-33187-2-Chapter02-48.jpg.

9.证明:双曲线xy=a2上任意一点处的切线与两坐标轴所构成的三角形的面积都等于2a2.