习题2.3

习题2.3

1.设y=6x3+3x2+x+5,求y‴y(4).

2.设fx)=xex2,求f″x).

3.求下列函数的n阶导数:

1)y=sinax;2)y=ebx;3)y=ln(1+x).

4.设函数y=yx)由方程ey+xy=e确定,求y′(0)和y″(0).

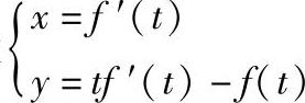
5.设978-7-111-33187-2-Chapter02-152.jpg,且f″t)≠0,求978-7-111-33187-2-Chapter02-153.jpg.

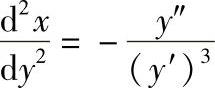
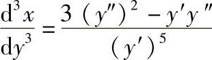
6.试从978-7-111-33187-2-Chapter02-154.jpg导出:

1)978-7-111-33187-2-Chapter02-155.jpg;2)978-7-111-33187-2-Chapter02-156.jpg‴.