高阶导数
2026年01月14日
第三节 高阶导数
一、高阶导数
一般地,若函数y=f(x)的导数y′=f′(x)仍然可导,这个导数就称为原来函数y=f(x)的二阶导数,记作y″,f″(x)或
.
类似地,若y″=f″(x)的导数存在,称为y=f(x)的三阶导数,记作y‴,f‴(x)或
.
一般地,如果y=f(x)的(n-1)阶导数y(n-1)=f(n-1)(x)的导数存在,其导数就称为y=f(x)的n阶导数,记作y(n),f(n)(x)或
.
二阶和二阶以上的导数统称为高阶导数.
例1 求n次多项式y=a0xn+a1xn-1+…+an-1x+an的各阶导数.
解 y′=na0xn-1+(n-1)a1xn-2+…+an-1
y″=n(n-1)a0xn-2+(n-1)(n-2)a1xn-3+…+2an-2
继续求导下去,易知
y(n)=n!a0它是一个常数,则
y(n+1)=y(n+2)=…=0.
例2 求y=ex的各阶导数.
解 由(ex)′=ex,易知,对任何n,有(ex)(n)=ex.(https://www.daowen.com)
例3 求y=sinx的各阶导数.
解
,


同理可得,
.
类似于一阶导数的运算法则,高阶导数有如下公式:
1)(u±v)(n)=u(n)±v(n);2)(Cu)(n)=Cu(n)(C为常数).
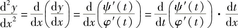
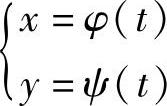
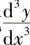
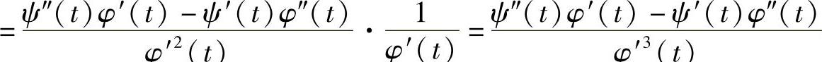
二、隐函数及参数方程所确定的函数的高阶导数
例4 由参数方程
确定y为x的函数,若x=φ(t)与y=ψ(t)都是二阶可导的,且φ′(t)≠0,求y对x的二阶导数
.
解 
.
例5 求由方程
所确定的隐函数y的二阶导数
.
解 应用隐函数的求导方法,得
,于是
.
上式两边再对x求导得
