习题2.2

习题2.2

1.求下列函数的导数:

1)y=x3lnx+2sinx+5;2)978-7-111-33187-2-Chapter02-118.jpg;3)y=x3exarctanx;4)978-7-111-33187-2-Chapter02-119.jpg;5)978-7-111-33187-2-Chapter02-120.jpg;6)y=sinx3;7)978-7-111-33187-2-Chapter02-121.jpg;8)y=(arcsinx2;9)y=arctan(e2x);10)y=ln(arccos2x);11)978-7-111-33187-2-Chapter02-122.jpg;12)978-7-111-33187-2-Chapter02-123.jpg;13)978-7-111-33187-2-Chapter02-124.jpg;14)978-7-111-33187-2-Chapter02-125.jpg.

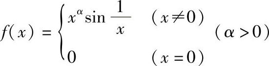
2.设f978-7-111-33187-2-Chapter02-126.jpg,讨论函数fx)在x=0处的连续性和可导性.

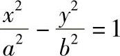
3.求过双曲线978-7-111-33187-2-Chapter02-127.jpg上一点(x0y0)的切线方程(其中,y0≠0).

4.求由方程y5+2y-x-3x7=0所确定的隐函数y=yx)在x=0处的导数978-7-111-33187-2-Chapter02-128.jpg.

5.设由方程y3+3y-x2+2x=0确定yx的函数,求978-7-111-33187-2-Chapter02-129.jpg.

6.设由方程ex-xy2+siny=0确定yx的函数,求978-7-111-33187-2-Chapter02-130.jpg.

7.求曲线x2+xy+y2=4在点(2,-2)处的切线方程.

8.求导数:

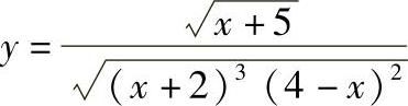
1)978-7-111-33187-2-Chapter02-131.jpg;2)y=xx.

9.设由方程978-7-111-33187-2-Chapter02-132.jpg,(0<ε<1)确定函数y=yx),求978-7-111-33187-2-Chapter02-133.jpg.

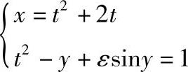
10.设由方程978-7-111-33187-2-Chapter02-134.jpg确定函数y=yx),求978-7-111-33187-2-Chapter02-135.jpg.