习题4.3

习题4.3

1.求下列不定积分:

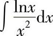
1)∫xlnxdx;2)978-7-111-33187-2-Chapter04-150.jpg;3)∫x2sinxdx;4)∫arctanxdx;5)∫arcsinxdx;6)978-7-111-33187-2-Chapter04-151.jpg.

2.求不定积分In=∫xn ex dx的递推公式,其中,n为非负整数.

3.求不定积分∫xf″x)dx.

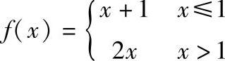
4.设函数978-7-111-33187-2-Chapter04-152.jpg,求∫fx)dx.

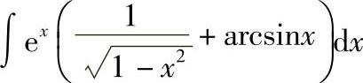
5.求不定积分978-7-111-33187-2-Chapter04-153.jpg.