习题4.4

习题4.4

求下列不定积分:

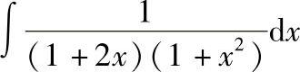
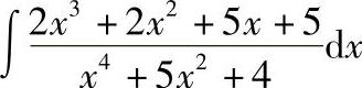
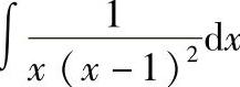
1)978-7-111-33187-2-Chapter04-211.jpg;2)978-7-111-33187-2-Chapter04-212.jpg;3)978-7-111-33187-2-Chapter04-213.jpg;4)978-7-111-33187-2-Chapter04-214.jpg;5)978-7-111-33187-2-Chapter04-215.jpg;6)978-7-111-33187-2-Chapter04-216.jpg;7)978-7-111-33187-2-Chapter04-217.jpg;8)978-7-111-33187-2-Chapter04-218.jpg;9)978-7-111-33187-2-Chapter04-219.jpg;10)978-7-111-33187-2-Chapter04-220.jpg;11)978-7-111-33187-2-Chapter04-221.jpg;12)978-7-111-33187-2-Chapter04-222.jpg.