有理函数积分
一、有理函数的积分
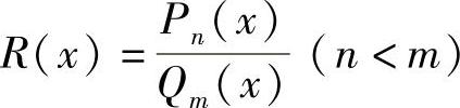
两个多项式的商
称为有理函数,又称有理分式.
其中,Pn(x)、Qm(x)分别是关于x的n次和m次的实系数多项式.
当n<m时,称为有理真分式,否则称为有理假分式.对于有理假分式,由于n≥m,应用多项式的除法,可得

其中,r(x)是多项式,而Pl(x)是次数小于Qm(x)的多项式.
即有理假分式总能化为多项式与有理真分式之和.多项式的积分容易求得,故只需讨论有理真分式的积分.
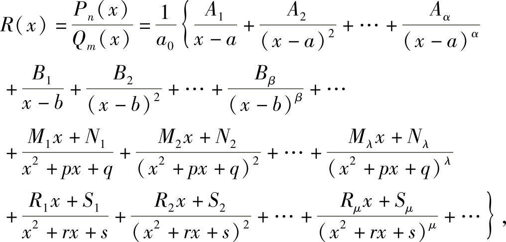
设有理真分式
,若分母Qm(x)因式分解为
Qm(x)=a0(x-a)α(x-b)β…(x2+px+q)λ…(x2+rx+s)μ…
其中,α,β,…,λ,μ,…是正整数,各二次多项式无实根,则R(x)可唯一地分解成下面形式的分式之和.

其中,A1,A2,…;B1,B2,…;M1,M2,…;N1,N2,…;R1,R2,…;S1,S2,…都是实常数,可以由待定系数法确定.
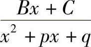
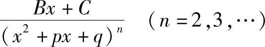
这样,求有理真分式的积分最终归结为求下面四类最简分式的积分:
1)
;2)
;3)
;4)
.
其中,A、B、C、a、p、q均为常数,且二次式x2+px+q无实根.
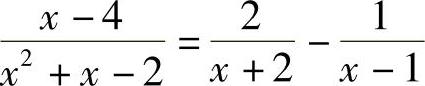
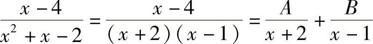
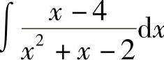
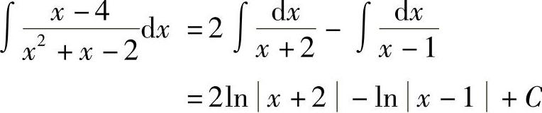
例1 求
.
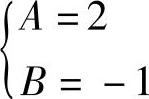
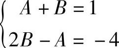
解 设
,由x-4=A(x-1)+B(x+2)=(A+B)x+2B-A,有
,解得
,故
,从而
.
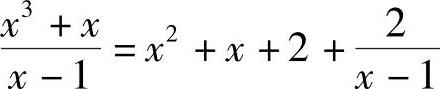
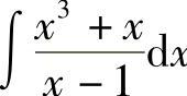
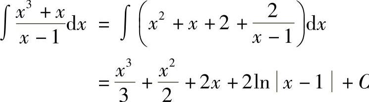
例2 求
.
解 因为x3+x=(x2+x+2)(x-1)+2,所以
,则
.
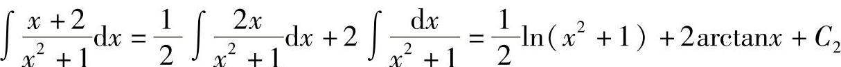
例3 求
.
解 
.(https://www.daowen.com)
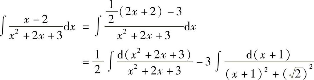
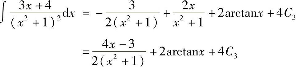
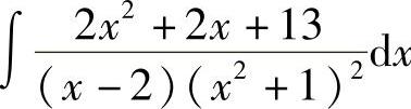
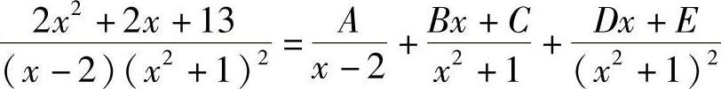
例4 求
.
解 设
,解得A=1,B=-1,C=-2,D=-3,E=-4,有
,于是
.
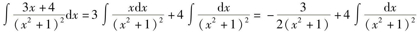
分别求上式等号右端的每一个不定积分:
,
’
’
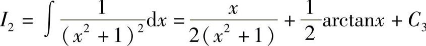
由4.3节例8的递推公式有
.
所以
于是
二、可化为有理函数的积分
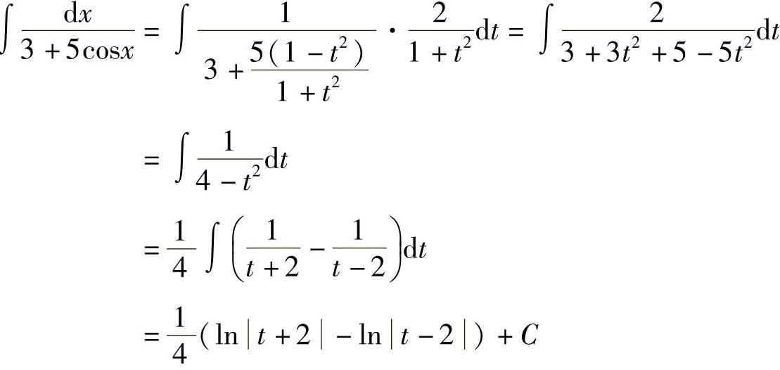
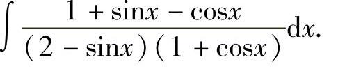
例5 求
.
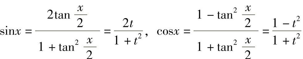
解 由三角函数的万能公式可知,sinx和cosx都可表示为
的有理式,令
,则有x=2arctant,
,
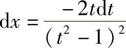
,
则
.
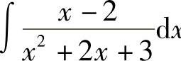
例6 求
解 令
例7 求
.
解 设
,则

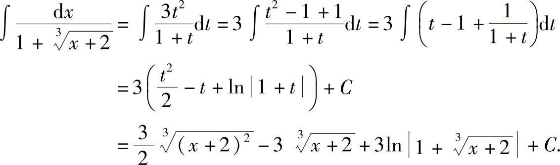
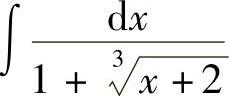
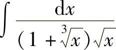
例8 求
.
解 为了能同时消去两个根式
和
,设
,则dx=6t5dt,

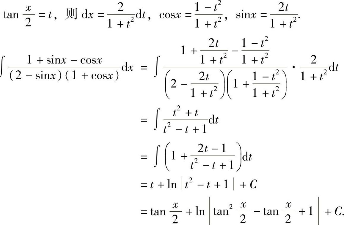
例9 求
.
解 令
,则
,
,

例10 求
.
解 设
,则
