换元积分法
一、第一类换元法
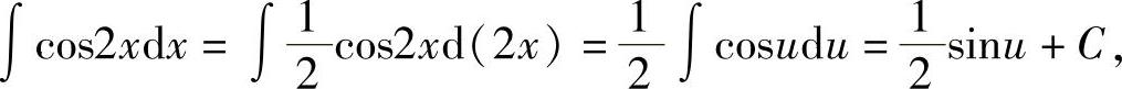
在上一节中,虽已介绍了一些求原函数的方法,但这些方法在有些情况下是不够的.例如,∫cos2xdx就不易求解.
如果令2x=u,可得

代回原变量,得
.
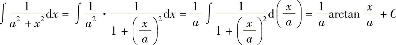
一般地,设f(u)是u的连续函数,且∫f(u)du=F(u)+C,若u=φ(x)有连续的导数φ′(x),则
∫f(φ(x))φ′(x)dx=F(φ(x))+C
要证明上式成立,只需证明[F(φ(x))]′=f(φ(x))φ′(x)即可.
因为[F(φ(x))]′=F′(φ(x))φ′(x),又由∫f(u)du=F(u)+C,得F′(u)=f(u),故[F(φ(x))]′=f(φ(x))φ′(x)成立.
上述通过换元求不定积分的方法称为第一类换元法.
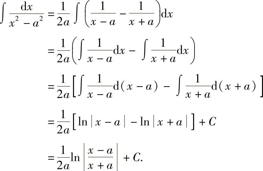
例1 求
.
解 令u=3-2x,则du=-2dx,故

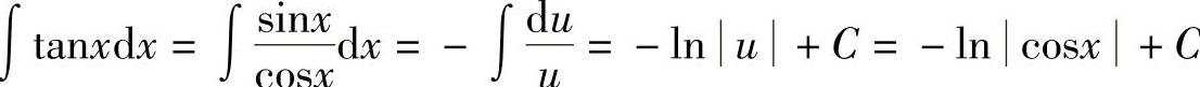
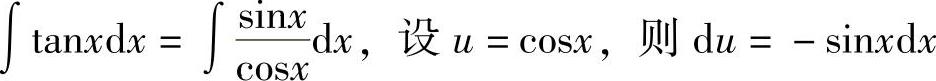
例2 求∫tanxdx.
解
,因此,
.
类似地,有∫cotxdx=ln sinx+C.
当运算熟练以后,可以不必写出u,而直接写出结果.
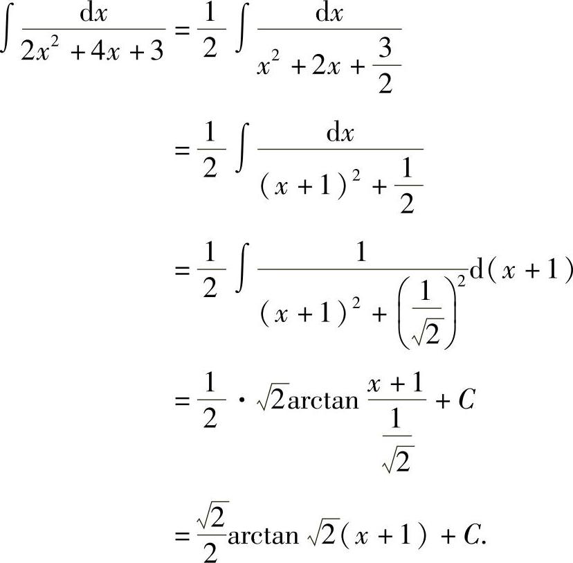
例3 求
.
解
.
例4 求
.
解
.
例5 求
.
解
.
例6 求
.
解 由于
,所以

例7 求
.
解 
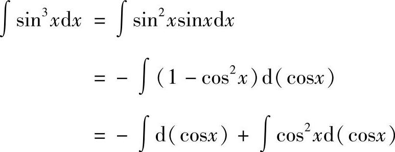
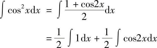
例8 求∫sin3xdx.
解 
.
例9 求∫cos2xdx.
解 
.
类似地,有
.
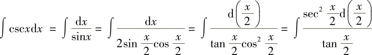
例10 求∫cscxdx.
解 
.
又因为
.
所以上述不定积分又可表示为
∫cscxdx=ln|cscx-cotx|+C.
类似地,有∫secxdx=ln|secx+tanx|+C.
例11 求∫sin2xcos3xdx.
解 利用积化和差公式
,得
,所以
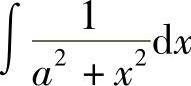
.二、第二类换元法(https://www.daowen.com)
对于某些特殊的不定积分∫f(x)dx,可以引入新的变量t,将x表示为t的函数,从而简化积分计算.这种换元法称为第二类换元法.
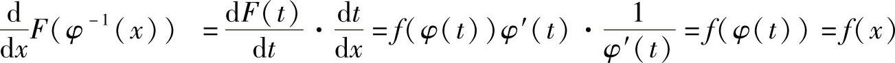
设函数x=φ(t)严格单调、可导,且φ′(t)≠0,又设f(φ(t))φ′(t)具有原函数.
则有换元公式

其中,φ-1(x)是x=φ(t)的反函数.
证 设∫f(φ(t))φ′(t)dt=F(t)+C,要证明上式成立,只需证[F(φ-1(x))+C]′=f(x).
而
.
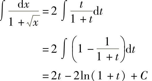
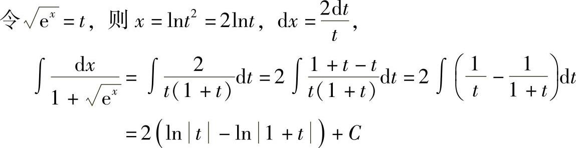
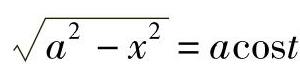
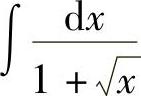
例12 求
.
解 作变量代换x=t,于是x=t2,dx=2tdt,从而

.
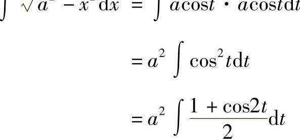
例13 求
.
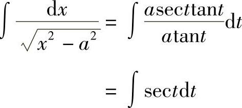
解 令
,则
,
,

,
由
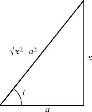
作辅助三角形(见图4-3),得
,故
.

图4-3
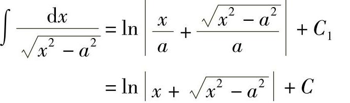
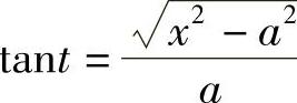
例14 求
.
解 设
,则dx=asec2tdt,

从而
.
由tant=x作辅助三角形(见图4-4),得
,故
,其中,C=C1-lna.
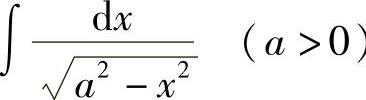
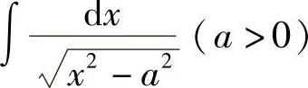
例15 求
.

图4-4
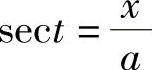
解 当x>a时,令x=asect,
,则
,dx=asecttantdt,从而
.
由
作辅助三角形(见图4-5),得
,故
其中,C=C1-lna.

图4-5
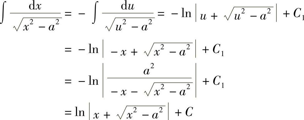
当x<-a时,令x=-u,则u>a,从而

其中,C=C1-2lna.
综上所述,
.
例16 求
.
解 
.
将
回代
.
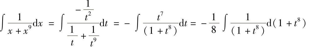
例17 求
.
解 令
,则
,故
