分部积分法
2026年01月14日
第三节 分部积分法
若u=u(x)与v=v(x)都有连续的导数,则由函数乘积的求导公式(uv)′=u′v+uv′,移项得
uv′=(uv)′-u′v.
对这个等式两边求不定积分,得
∫uv′dx=uv-∫u′vdx,即∫udv=uv-∫vdu.
这个公式称为分部积分公式.
一般地,当∫udv不易计算而∫vdu较易计算时,就使用这个公式.
例1 求∫xcosxdx.
解 设u=x,则dv=cosxdx,du=dx,v=sinx,利用分部积分公式得
∫xcosxdx=xsinx-∫sinxdx=xsinx+cosx+C.
例2 求∫xexdx.
解 设u=x,dv=exdx,则du=dx,v=ex,则
∫xexdx=xex-∫exdx=xex-ex+C.
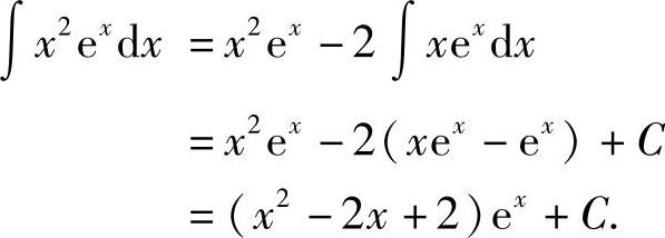
例3 求∫x2exdx.
解 设u=x2,dv=exdx,则du=2xdx,v=ex,则

当运算熟练以后,可以不必写出u、v,而直接写出结果.
例4 求∫lnxdx.(https://www.daowen.com)
解
.
例5 求∫xarctanxdx.
解 

例6 求∫exsinxdx.
解 ∫exsinxdx=∫sinxdex=exsinx-∫exdsinx=exsinx-∫excosxdx
注意到∫excosxdx与所求积分是同一类型的,需再进行一次分部积分,

.
则
.
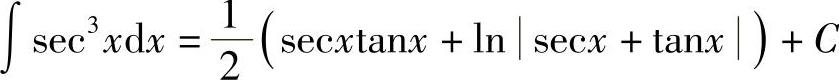
例7 求∫sec3xdx.
解
,则
.
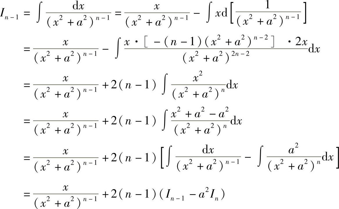
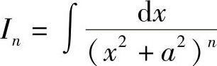
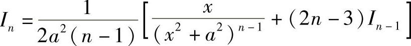
例8 求
(其中,n为正整数).
解 当n=1时,
.
当n>1时,

于是
.
由此递推公式,并由
,可得In.