定积分的应用
一、定积分的元素法
从前面讨论过的曲边梯形的面积和变速直线运动的路程可以看出,定积分所解决的问题可归结为求与区间[a,b]上有关的量A,解决问题的步骤是:分割——近似代替——求和——取极限.这里的整体量A对于区间[a,b]具有可加性,即若把[a,b]分成若干个小区间[xi-1,xi](i=1,2,…,n),就有
,其中ΔAi是对应于小区间[xi-1,xi]的局部量;可以近似地求出ΔAi,即ΔAi≈f(ξi)Δxi(i=1,2,…,n),这里f(x)是已知函数,ξi∈[xi-1,xi](i=1,2,…,n),并且满足:ΔAi-f(ξi)Δxi是比Δxi更高阶的无穷小量(当Δxi→0时),则A可以表示为定积分
.
如果实际问题中的所求量A符合下列条件:
1)A是与一个变量的变化区间[a,b]有关的量;
2)A对于区间[a,b]具有可加性;
3)局部量ΔAi的近似值可表示为f(ξi)Δxi,这里f(x)是实际问题选择的函数.则该实际问题可以用定积分来解决.
解决步骤如下.
第一步:分割区间,写出微元.
分割区间[a,b],取具有代表性的任意一个小区间(不必写出下标号),记作[x,x+dx],设相应的局部量为ΔA,分析局部量ΔA,选择函数f(x),写出近似等式
ΔA≈dA=f(x)dx.
第二步:求定积分得整体量.
令Δx→0,对这些微元求和后取极限,得到的定积分就是所要求的整体量

上述方法称为定积分的元素法,又称微元法.
二、平面图形的面积
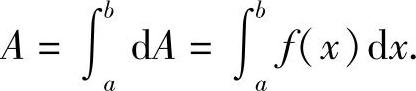
根据定积分几何意义,由曲线y=f(x)(f(x)≥0)和直线x=a,x=b以及y=0所围成的曲边梯形的面积
;
由在区间[a,b]上的连续曲线y=f(x)(有的部分为正,有的部分为负),x轴及直线x=a与x=b所围成的平面图形的面积
;
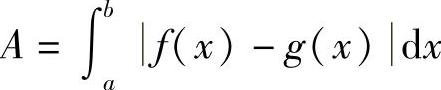
如果平面区域是由区间[a,b]上的两条连续曲线y=f(x)与y=g(x)及直线x=a与x=b围成(见图5-5a),则它的面积
;

图5-5
如果平面区域是由区间[c,d]上的两条连续曲线x=φ(y)与x=Ψ(y)及直线y=c与y=d围成(见图5-5b),则它的面积
.
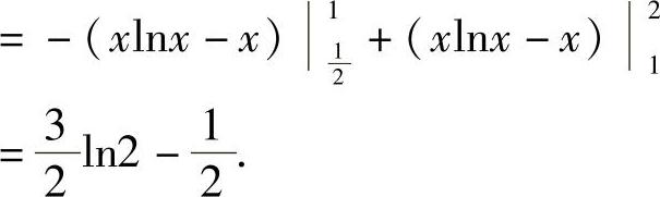
例1 求由y=lnx,x轴及直线
与x=2所围成的平面图形的面积(见图5-6).
解 已知在
上,lnx≤0,在[1,2]上,lnx≥0


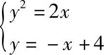
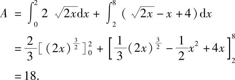
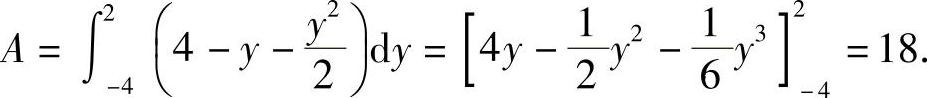
例2 求抛物线y2=2x和直线y=-x+4所围成的图形的面积(见图5-7).

图5-6

图5-7
解 先求抛物线和直线的交点,解方程组

解得交点为(2,2)和(8,-4).
方法一:选x为积分变量,变化区间为[0,8],面积为

方法二:选y作积分变量,则y的变化区间为[-4,2],所求的面积为

由本例题可以看出,选择适当的变量可以使计算更加简便.
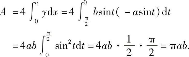
例3 求椭圆
所围成的面积.
解 此椭圆关于两个坐标轴都对称(见图5-8),故只需求它在第Ⅰ象限内的面积A1,则椭圆的面积为
.
利用椭圆的参数方程

图5-8

令x=acost,则y=bsint,dx=-asintdt

当a=b时,就得到圆的面积公式A=πa2.
本例题中,参数方程所确定的函数的积分,实质是作了一次变量代换.
三、两种特殊立体的体积
1.平行截面面积为已知函数的立体的体积
设空间某立体是由一曲面和垂直于x轴的平面x=a和x=b围成(见图5-9)的,如果用过任意点x(a≤x≤b)且垂直于x轴的平面截立体所得到的截面面积是已知连续函数
S(x)(a≤x≤b),则此立体的体积为

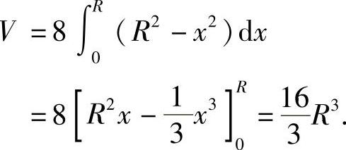
例4 已知两个底半径为R的圆柱体垂直相交,求它们公共部分的体积.
解 如图5-10所示,公共部分的体积为阴影部分体积的8倍,现考虑阴影部分体积.任意一个垂直于x轴的截面都为正方形,其边长为
,因此截面面积为S(x)=R2-x2
所以

图5-9

图5-10
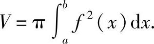
2.旋转体的体积
由连续曲线y=f(x)(x≥0)与直线x=a,x=b及x轴所围成的曲边梯形绕x轴旋转,所得的立体叫做旋转体(见图5-11)显然过点x(a≤x≤b)且垂直于x轴的截面是以f(x)为半径的圆,其面积是S(x)=πf2(x),于是得旋转体的体积为

类似地,由连续曲线x=φ(y)和直线y=c,y=d及y轴所围成曲边梯形绕y轴旋转所生成的旋转体的体积为


图5-11
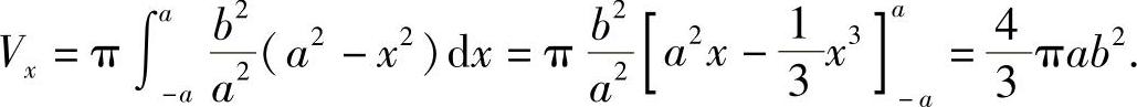
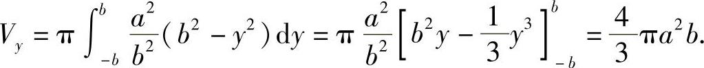
例5 求椭圆
分别绕x轴和y轴旋转所得旋转体的体积.
解 (1)绕x轴旋转
这个旋转体是由半个椭圆
及x轴围成的图形绕x轴旋转而成的立体,所以

(2)绕y轴旋转

当a=b时,得半径为a的球体的体积:
.
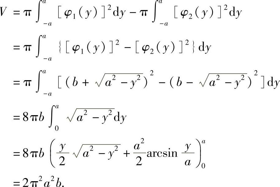
例6 求由圆(x-b)2+y2=a2(0<a<b)绕y轴旋转一周得到的旋转体的体积.
解 将圆的方程改写为

如图5-12所示,右半圆的方程是

左半圆的方程是


图5-12
所求的旋转体(环体)的体积是分别以两个半圆为曲边的曲边梯形绕y轴旋转一周所得的旋转体的体积的差,即

四、平面曲线的弧长
由于平面上的光滑曲线弧是可求长的,故可用定积分来计算弧长.
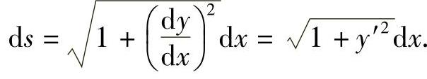
1.直角坐标情形
已知曲线弧在直角坐标系下的方程为
y=f(x)(a≤x≤b),
其中,f(x)在[a,b]上有一阶连续导数.下面求该曲线弧的长度.
取x为积分变量,积分区间为[a,b],在[a,b]上任取一个小区间[x,x+dx],则弧微分公式为

故所求弧长为

如果曲线弧的方程为x=φ(y)(c≤y≤d),且φ(y)在[c,d]上有一阶连续导数.则取y为积分变量,积分区间为[c,d],则弧微分公式为

故所求弧长为

例7 求曲线
的弧长.
解 因为
.取x为积分变量,积分区间为
,则弧长元素为

故所求弧长(https://www.daowen.com)

2.参数方程情形
已知曲线弧的参数方程为

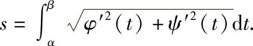
其中,φ(t),ψ(t)在[α,β]上有连续导数,求该曲线的弧长.
取参数t为积分变量.则积分区间为[α,β],则弧微分公式为

故所求弧长

例8 求曲线
自t=0到t=1的一段弧的弧长.
解
,则弧长元素

故所求弧长

3.极坐标情形
已知曲线弧的极坐标方程为
r=r(θ)(α≤θ≤β).
其中,r(θ)在[α,β]上有连续导数,求该曲线弧的弧长.
由直角坐标与极坐标的关系

将θ看成参数,则弧长元素

故所求弧长为

例9 求曲线
)的长度.
解 
五、定积分在物理学上的应用
1.变力沿直线所做的功
常力沿直线所做的功已有公式可求,如果物体在运动过程中所受到的力是变化的,计算这种变力做功又如何计算呢?
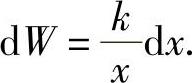
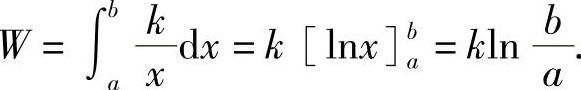
例10 在底面积为S的圆柱形容器中盛有一定量的气体.在等温条件下,由于气体的膨胀,把容器中的一个活塞(横截面积为S)从点a处推移到点b处.计算在移动过程中,气体压力所做的功.

图5-13
解 取坐标系如图5-13所示,活塞的位置可以用坐标x来表示.由物理学知道,一定量的气体在等温条件下,压强p与体积V的乘积是常数k,即

在点x处,因为V=xS所以作用在活塞上的力为

取x为积分变量,变化区间为[a,b].当活塞从x移动到x+dx时,变力所做的功近似为
,即功元素为

于是所求的功为

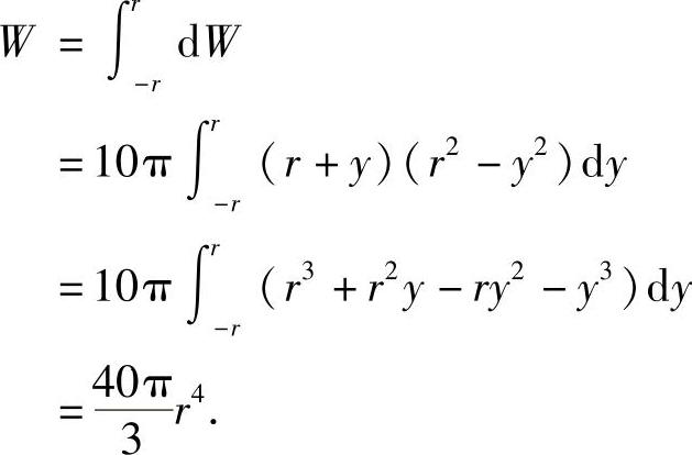
例11 设重度为10(kN/m3)、半径为r(m)的球浸在水中,且与水面相接,为将球从水中取出,需做多少功?
解 如图5-14所示建立坐标系,则球的方程为x2+y2=r2,把球从水中取出,相当于把每一水平薄层提高2r,在提高2r时,所做的功分为两个过程:
1)将薄层提升至水面,因为球的重度为10(kN/m3),与水的重度相等,所以提升力为零,即不做功.
2)将薄层由水面提升到r+y处,提升力为此薄层的重力
dW=γπx2dy=10π(r2-y2)(r+y)dy
故需做功为


图5-14
2.水压力
从物理学知道,在水深为h处的压强为p=ρgh,这里ρ是水的密度.如果有一面积为A的平板水平地放置在水深为h处,那么平板一侧所受的水的压力为
P=p·A.
如果将这个平板铅直放置在水中,那么由于水深不同的点处压强p不相等,所以平板所受水的压力就不能用上述方法计算.

图5-15
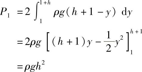
例12 某闸门的形状与大小如图5-15所示,闸门的上部为矩形,下部为二次抛物线,当水面与闸门的上端相平时,欲使闸门矩形部分承受的压力与闸门的下部承受的压力之比为5∶4,问闸门矩形部分的高应是多少?
解 如图5-15所示,建立坐标系,则抛物线方程为y=x2,闸门矩形部分承受的压力为

其中,ρ是水的密度,g是重力加速度,闸门的下部承受的压力为

由题意知

得h=2,
(舍).
故h=2,即闸门矩形部分的高为2m.
3.引力
从物理学知道,质量分别为m1、m2,相距为r的两质点间的引力的大小为

其中,G为引力系数,引力的方向沿着两质点连线方向.
如果要计算一根细棒对一个质点的引力,那么,由于细棒上各点与该质点的距离是变化的,且各点对该质点的引力的方向也是变化的,就不能用上述公式来计算.
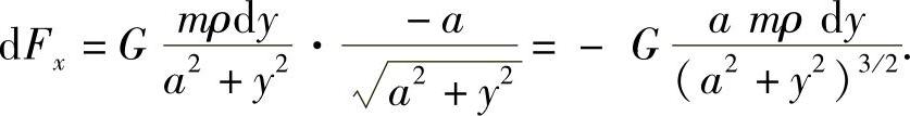
例13 设有一长度为l、线密度为ρ的均匀细直棒,在其中垂线上距棒a单位处有一质量为m的质点M,试计算该棒对质点M的引力.

图5-16
解 取坐标系如图5-16所示,使棒位于y轴上,质点M位于x轴上,棒的中点为原点O.由对称性知,引力在垂直方向上的分量为零,所以只需求引力在水平方向的分量.取y为积分变量,它的变化区间为
.在
上的y点取长为dy的一小段,其质量为ρdy,与M相距
.于是在水平方向上,引力元素为

引力在水平方向的分量为

六、定积分在经济学中的应用
首先介绍几个相关概念.
已知某产品在时刻t的总产量的变化率为f(t),则从时刻t1到时刻t2的总产量为

已知边际成本C′(x)是产品的产量x的函数,则生产第x个单位产品的总成本为

已知总费用变化率f(x),其中,x是变量,则总费用为

已知某种新产品投入市场的销售速度为时间t的函数f(t),那么,在T个单位时间内,该产品的总销售量为

已知某产品产量为x时的边际收益为R′(x),总收益为R(x),销售量为x的平均收益为R(x),则

例14 已知某商品每周生产x单位时,总费用的变化率是f(x)=0.4x-12(元/单位),求总费用F(x);如果这种产品的销售单价是20(元),求总利润L(x),并问每周生产多少单位时才能获得最大利润?
解 总费用
,
销售x单位商品得到的总收入为R(x)=20x.
又因为总利润L(x)=R(x)-F(x),
所以
L(x)=20x-(0.2x2-12x)=32x-0.2x2.
令L′(x)=0,
即32-0.4x=0,得x=80,因此最大利润为
L(80)=32×80-0.2×802=1280(元).
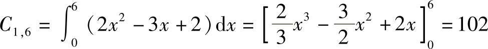
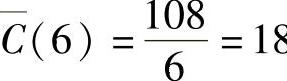
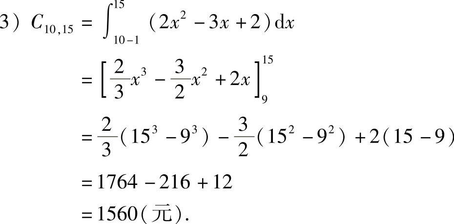
例15 已知某产品的边际成本为C′(x)=2x2-3x+2(元/单位),求:
1)生产前6个单位产品的可变成本;
2)若固定成本C(0)=6(元),求前6个产品的平均成本;
3)求生产第10个到第15个单位产品时的平均成本.
解 1)生产前6个单位产品,即从生产第1个到第6个单位的可变成本为
(元).
2)
.
8(元/单位).
