习题5.2
1.计算下列导数:
1)
;2)
;3)
;4)
.
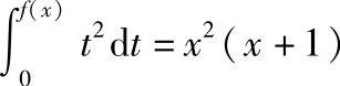
2.设函数f(x)南方程
所确定,求
.
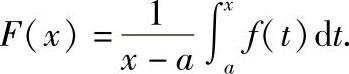
3.设
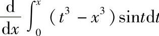
4.求下列
l)
2)
'3)
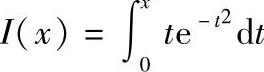
5.当x为何值时,函数
有极值?
6.设f(x)在[0,+∞)上连续,若
,求f(2).
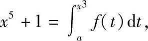
7.设f(x)为连续函数,且存在常数a,满足

求f(x)及常数a.
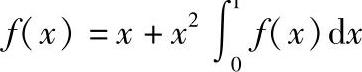
8.设
,求f(x).
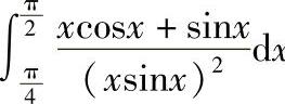
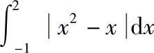
9.用牛顿—莱布尼茨公式计算下列定积分:
1)
:2)
;3)
;4)
;5)
;6)
.
10.设函数f(x)在[a,b]上连续,在(a,b)内可导,且f′(x)≤0,

证明:在(a,b)内有F′(x)≤0.