广义积分与Γ函数
一、无穷限的广义积分
定义5.3 设函数f(x)在区间[a,+∞)上连续,取b>a,如果极限
存在,则称此极限值为函数f(x)在无穷区间[a,+∞)上的广义积分,记作
,即

这时也称广义积分
收敛;反之,则称广义积分
发散.同样,可以定义f(x)在(-∞,b],(-∞,+∞)上的广义积分.
定义5.4 设f(x)在区间(-∞,b]上连续,取a<b,如果极限
存在,则称此极限值为函数f(x)在无穷区间(-∞,b]上的广义积分,记作
,即

这时也称广义积分
收敛;反之,则称广义积分
发散.
定义5.5 设函数f(x)在区间(-∞,+∞)内连续,如果广义积分
和
都收敛,则称上述两个广义积分之和为函数f(x)在无穷区间(-∞,+∞)上的广义积分,记作
,即

这时也称广义积分
x收敛;否则,就称广义积分
发散.
设函数f(x)在[a,+∞)上连续,F(x)是f(x)的原函数,为了方便,分别记
[F(x)]ba为[F(x)]a+∞,
[F(x)]ba为[F(x)]b-∞,则无穷限的广义积分
,
∞.
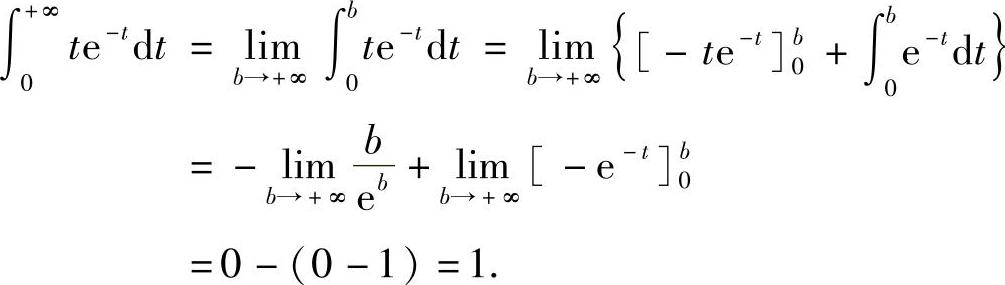
例1 求
,
,
.
解 
例2 求
.
解 
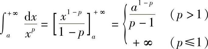
例3 讨论广义积分
的收敛性.
解 当p≠1时

又因为当p=1时,
.
因此,当p>1时,广义积分
收敛于
,当p≤1时,此广义积分发散.二、无界函数的广义积分
若x0是函数f(x)的无穷间断点,即
,则x0是f(x)的瑕点.
定义5.6 设函数f(x)在区间(a,b]上连续,且a为瑕点,取η>0,如果极限
存在,则称此极限值为无界函数f(x)在[a,b]上的广义积分或瑕积分,记作
,即

这时也称广义积分
收敛;若上述极限不存在,则称广义积分
发散.
当b为瑕点或c∈(a,b)为瑕点时,可类似地定义f(x)在[a,b]上的瑕积分

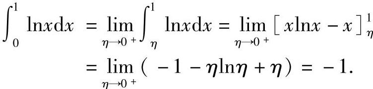
例4 计算
.(https://www.daowen.com)
解 因为
,所以点x=0是瑕点,

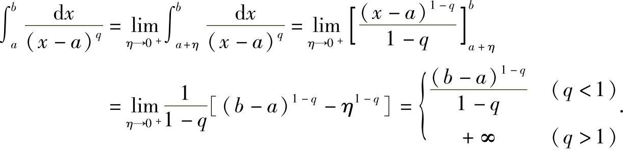
例5 讨论广义积分
的敛散性(b>a>0,q>0).
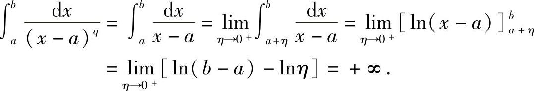
解 显然点x=a是瑕点,当q≠1时,

当q=1时,

因此,广义积分
,当q<1时收敛;当q≥1时发散;同样可得,广义积分
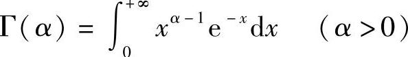
,当q<1时收敛,当q≥1时发散.三、Γ函数
定义5.7 积分
称为Γ函数.
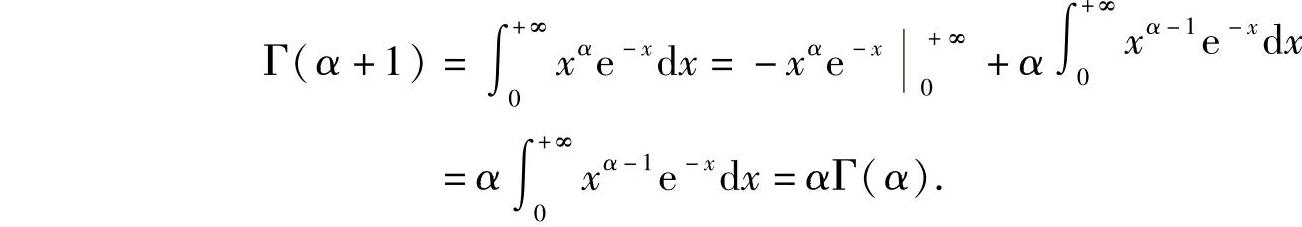
Γ函数有一个重要性质,即递推公式
Γ(α+1)=αΓ(α).
这是因为

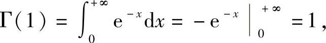
特别地
Γ(n+1)=n!
这是因为
Γ(n+1)=nΓ(n)=n(n-1)Γ(n-1)=…=n!Γ(1),又因为

所以
Γ(n+1)=n!
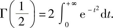
Γ函数还可以写成另一种形式

可以证明

例6 计算
.
解
.
例7 计算
解
.