习题5.3

习题5.3

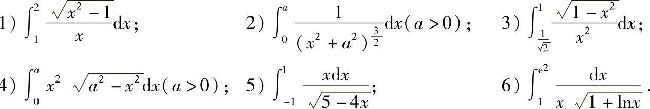
1.用换元法计算下列定积分:

978-7-111-33187-2-Chapter05-199.jpg

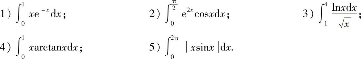
2.用分部积分法计算下列定积分:

978-7-111-33187-2-Chapter05-200.jpg

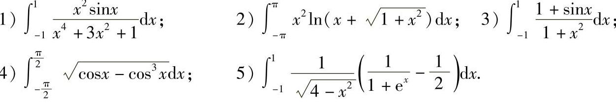
3.利用函数奇偶性计算下列定积分:

978-7-111-33187-2-Chapter05-201.jpg

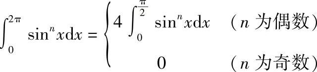
4.利用978-7-111-33187-2-Chapter05-202.jpg978-7-111-33187-2-Chapter05-203.jpg.

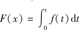
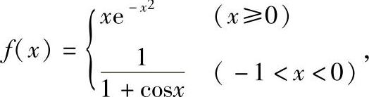
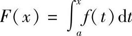
5.设函数

978-7-111-33187-2-Chapter05-204.jpg

计算978-7-111-33187-2-Chapter05-205.jpg.

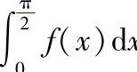
6.设fx)连续,且978-7-111-33187-2-Chapter05-206.jpg,求978-7-111-33187-2-Chapter05-207.jpg.

7.证明:1)若fx)为连续的偶函数,则978-7-111-33187-2-Chapter05-208.jpg为奇函数;2)若fx)为连续的奇函数,则978-7-111-33187-2-Chapter05-209.jpg为偶函数(a为任意常数).

8.证明978-7-111-33187-2-Chapter05-210.jpg.