3.2.6 邻近返回检验(Close Return Test)
Gilmore(1993)在对混沌的存在性检验研究中提出邻近返回检验:混沌系统并不是简单的无序,其在相空间中的吸引子包含许多不稳定的周期轨道,时间序列的演化轨迹总会在某个不稳定的轨道上停留一段时间后才会跳到其他轨道上去;而且混沌系统具有回复行为,随着时间的推移,系统又会回到原来轨道的附近,但不会重复,并保持这种靠近的状态一段时间。邻近返回检验即检测混沌系统的这种行为。
Gilmore(1993)的做法是:对于时间序列
,选定一个较小的值ε(Gilmore建议选取ε为时间序列中任意两点间差值的最大值的2%),以观察值数目t为横坐标、时间间隔i为纵坐标,如果
,则在图上将点(t,i)标为黑色的点,否则不予标注。若时间序列{xt}来自独立同分布的随机系统,则黑点的分布是随机的,没有明显的规律;若是混沌系统,则观察值xt在经过一段时间i后又会回到xt的附近,即
较小,同时,
等都会比较小,从而在图中会观察到一些水平的小线段。由此可区分系统。
陈永忠(2004)则提出首先进行相空间重构,再对相空间中的点进行邻近返回检验。其具体做法如下:
(1)对原始序列{xt,t=1,2,…,N},按本书第4章4.31的方法进行相空间重构后,其相空间中的各点为:
![]()
其中t=1,2,…,M,M=N-(m-1)τ。
(2)对于各点,则按Gilmore(1993)的方法画出基于相空间的邻近返回图[2]。
基于邻近返回的χ2检验:
对于每个时间间隔i,计算其所对应的全部邻近返回点的数目:(https://www.daowen.com)

其中Θ(∙)为Heaviside函数,即当u≥0,则θ(u)=1,否则θ(u)=0。
如果序列为独立同分布的随机序列,则有
为服从0-1分布的独立同分布随机变量,令其等于1的概率为p(ε),则等于0的概率为1-p(ε)。从而由独立同分布中心极限定理,当n充分大时,有
![]()
由此,对于独立同分布序列,Hi应一致分布于均值
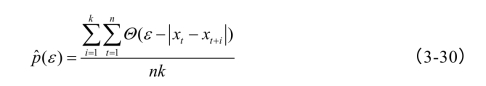
的周围,进一步可构造统计量

其中n为邻近返回图中t的最大取值,k为最大间隔数,p(ε)可用邻近返回图中黑点所占比例近似估计,即

对于给定的显著性水平α,若样本值落入拒绝域,则可认为样本数据不是来自独立同分布的随机系统,而是具有非线性特性。