3.4 我国股市的非线性存在性分析
长期以来,对于证券市场的分析研究,都是建立在Fama(1965)提出的有效市场假说(Efficient Market Hypothesis,EMH)之上的。虽然EMH一直作为现代金融理论的主流理论存在,但其分析框架是基于线性理论的。国内外学者对于证券市场的大量研究表明,股票价格的变化并不是线性的,存在许多异象,比如:一月效应[3]、小公司效应[4]、超额收益[5]、低市盈率效应[6],等等。由此,出现了一些基于非线性分析的新理论,较有影响的是Peter(s1991)提出的分形市场假说(Fractal Market Hypothsis,FMH),FMH比EMH更好地解释了美国股市“黑色星期一”[7]:市场中存在大量不同投资期限的投资者,他们的不同预期使得市场能够正常运行;而当投资者对市场具有相同预期时,其投资期限日期会变得相同,从而导致市场因丧失流动性而崩溃。对于股票指数是否存在非线性,Hinich与Patterson(1985)、Brockett等(1988)、Hsieh(1991)以及Abhyankar(1997)找到了美国等主要西方国家股指的非线性性,国内学者的研究主要集中在混沌与分形特征的相关证据,本章主要讨论我国上证综合指数与深圳成份指数序列是否存在非线性问题。
本书选取上证综指(简记为:SZ)数据样本从1992年5月21日(这一日上海股票交易市场股价全部放开)至2010年3月2日的交易日收盘数据,样本容量为4333;选取深圳成指(简记为:SC)数据样本从1991年4月3日至2010年3月2日的交易日收盘数据,样本容量为4646。
首先对两指数分别差分,应用传统的单位根检验方法,其结果如表3-3所示。
表3-3 单位根的ADF、DF-PP以及KPSS检验结果

注:检验使用了含漂移不含时间趋势项的模型。滞后期数p的确定则用到了 Ng and Perron(1995)方法,这里最大取值为20。*,**,***分别为10%,5%,1%显著性水平下拒绝单位根的原假设。对于KPSS检验,则相反,为10%、5%、1%显著性水平下拒绝平稳的原假设。
由表3-3可见,各检验都在 1%显著性水平下通过了差分后的两股指,是平稳的,因此,进一步对差分后的序列进行非线性存在性检验。按照Lee、White与Granger(1993)的研究方法,首先考虑对差分序列ΔSZ与ΔSC进行AR(p)滤波,然后,对滤波后的残差再应用各非线性存在性检验方法进行检验。
步骤一,对于上证综指SZ,取滞后期数p=18,对于深圳成指SC,取滞后期数p=17,应用AR(p)进行拟合,得到滤波后的残差序列,记为r(SZ)与r(SC)。
步骤二,对r(SZ)与r(SC)首先利用视觉计量经济学(Ocular Econometrics)的思想,进行图形的直观非线性分析。
(1)两残差序列r(SZ)与r(SC)的双谱图如图3.1所示。

图3-1 从左至右分别为r(SZ)、r(SC)及高斯白噪声序列的双谱图
由图3-1可以看出,从理论上看,高斯白噪声的双谱图应恒为0,但由于计算误差和伪随机数的原因,其呈均匀平坦形状,而上证综指与深圳成指的残差序列r(SZ)与r(SC)的取值波动则较大,并非均匀形态,可以认为存在非线性。
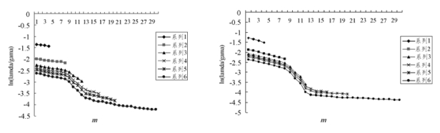
(2)两残差序列r(SZ)与r(SC)的PCA主成分分析图。
选取嵌入维分别为m=4,8,12,16,20,30,对于r(SZ),取时间滞后期数为59,而对于r(SC),则取时间滞后期数为56,并与高斯白噪声序列相比较,进行相空间重构后并进一步计算ln(λi/γ),绘制各序列的PCA图3-2如下:
由图3-2可见,高斯白噪声序列的PCA图的各主分量基本呈水平状,各分量大小分布均匀,并随嵌入维m的增加而降低,但均匀状态不变;而上证综指与深圳成指的残差序列r(SZ)与r(SC)都有明显的扭曲,说明其存在非线性。


图3-2 从左至右分别为r(SZ)、r(SC)及高斯白噪声序列的PCA图(https://www.daowen.com)
(3)两残差序列r(SZ)与r(SC)的邻近返回检验图。
对于两序列,取时间t=1到3500,间隔取i=300,r(SZ)的嵌入维取6,滞后期数取59,而r(SC)的嵌入维取5,滞后期数取56,则得到如下邻近返回值图3-3。

图3-3 从上至下分别为r(SZ)、r(SC)的邻近返回检验图
由图3-3可见,沪深两市股指的残差序列r(SZ)与r(SC)都存在某段时刻内有很多的横线条,并且具有一定的周期性规律,因此,直观上可以说明存在非线性的特征。进一步计算其各自邻近返回图的样本统计量χ2:
,
,p值均小于0.001,因此,拒绝原假设,认为所检验的序列均存在非线性。
对上述三种直观图形的分析可以很清楚地表明,沪深两市股指序列存在非线性特征。
其次,使用本书所介绍的平方残差的Q检验、BDS检验以及神经网络检验方法,检验结果如表3-4所示。
表3-4 r(SZ)、r(SC)的Q检验、BDS检验以及神经网络检验结果

注:*,**,***分别为10%,5%,1%显著性水平下拒绝线性性的原假设。BDS检验上证综指嵌入维取6,滞后期59,深成指则嵌入维取5,滞后期56。神经网络则使用20个神经元的线性加强型单隐层神经网络和3个主成分。
由表3-4可见,各检验结果均支持沪深两市股指的残差序列r(SZ)与r(SC)存在非线性,由此可见,对两时间序列的分析应用线性理论方法进行分析存在局限,需要用非线性的视角进一步深入研究。
【注释】
[1]滞后阶数的确定可用AIC,AICC,SIC(BIC),EPE,AICP,AICCP等准则,实际应用中,AIC,AICC,SIC最为常用。周建(2005)MC研究表明,样本容量较小时,AICC检验效力高,对于大样本的情形,SIC的检验效力显著增大,并渐近依概率收敛到1;Hannan(1980)则证明,SIC准则对阶数p的选择具有一致性。SIC准则公式:SIC=ln(
/n)+[(p+1)lnn]/n,其中
为残差向量,n为样本容量。
[2]此时两点间的差值
改为两点间的距离
。
[3]一月效应是指一月份的回报率往往是“正数”,而且会比其他月份高。
[4]小公司效应是指小盘股比大盘股的收益率高。
[5]超额收益是指投资收益超过市场平均收益的那一部分收益。
[6]低市盈率效应是指由低市盈率股票组成的投资组合收益要优于由高市盈率股票组成的投资组合收益。
[7]黑色星期一是指1987年10月19日(星期一)全球股市在美国纽约道琼斯工业平均指数带头暴跌下全面下跌,引发金融市场恐慌,从而导致了全球的股灾。