2.4.3 幂函数
2026年01月14日
2.4.3 幂函数
定义3 设α是任意一个复数,定义幂函数为
w =zα =eαLnz(z
0).
在α为正实数时,对z =0的情况进行规定:zα =0.幂函数是指数函数与对数函数的复合函数,根据对数函数的定义,有
w =zα =eαLnz =eα(ln z+2kπi) =eα ln z·e2αkπi,(k为整数)
由于Lnz = ln z+2kπi是多值的,所以w = zα也是多值的,且所取的不同数值的个数等于e2αkπi 所取的不同数值的个数.当α取不同的值时,幂函数有以下几种情形:
(1) 当α=n为正整数时,w =zα =zn 是单值函数.
(2) 当α=-n(n为正整数)时,w =zα =
也是单值函数.
(3) 当
(n为正整数)时,w =zα =
是根式函数,且
![]()
它在k =0,1,··· ,n-1时取不同的值,是具有n个分支的多值函数.(https://www.daowen.com)
(4) 当α =
(m和n为互质的整数,n >0)时,zα =
它在k =0,1,··· ,n-1 时取不同的值,是具有n个分支的多值函数.
(5) 当α是无理数或复数时,w =zα是无穷多值的,且
![]()
下面讨论幂函数的解析性.
由于对数函数Lnz的每个单值分支在除去原点与负实轴的z平面内是解析的,所以幂函数w =zα 的每个单值分支在除去原点与负实轴的z平面内也是解析的,并且

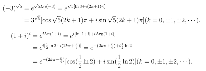
例4 计算
和(1+i)i的值.
解
