2.4.5 反三角函数和反双曲函数
2026年01月14日
2.4.5 反三角函数和反双曲函数
三角函数的反函数称为反三角函数.
定义7 设
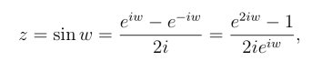
z =sin w,
我们称w为z的反正弦函数,记作
w =Arcsinz.
由于

可得
(eiw)2-2izeiw-1=0,
解之得
![]()
于是有
![]()
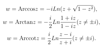
类似地可定义反余弦函数、反正切函数和反余切函数:

由于根式函数、对数函数都是多值函数,所以它们都是多值函数.在相应地取了单值连续分支以后,由反函数的求导法则,可以得到:(https://www.daowen.com)

由对数函数的求导法则,可得

双曲函数的反函数称为反双曲函数,与反三角函数的推导过程类似,可
推出各反三角函数的表达式.

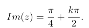
例6 解方程|tanh z|=1.
解 tanh z = ![]()
两边平方,并令e2z =u+iv,
(u-1)2+v2 =(u+1)2+v2 或u=0,
因为u=Re(e2z)=e2Re(z)cos[2Im(z)]=0,
cos[2Im(z)]=0,
计算得

故|tanh z|=1的解是满足Im(z)=
的所有复数z.