3.2.3 复合闭路定理
所谓复合闭路是指一种特殊的有界多连通域D的边界曲线Γ,它由几条简单闭曲线组成,可简记为Γ=
其中简单闭路C取正向; 简单闭路
取负向,它们都在C 的内部且互不相交又互不包含(图3.6).上述Γ 的方向称为多连域D的边界曲线的正向.

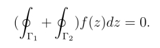
定理3(复合闭路定理) 设D是以复闭路Γ =
为边界的多连通域.若函数f(z) 在D内及其边界Γ上解析,则f(z)沿Γ的积分为零.这时有

证明 只须证n = 2的情形.在区域D内作割线段把D分成区域D1和D2(如图3.7).设D1和D2的边界正向曲线分别为Γ1和Γ2.由定理所给条件,f(z)在简单闭路Γ1和Γ2上及其内部解析,于是由定理1得

由于Γ1和Γ2在上述割线段上重合且反向,Γ1和Γ2的其余部分组成了D的边界Γ且与Γ同向,因此上式可化简为

可得所证等式(3.2.2)成立.

定理3说明,在区域内的一个解析函数沿闭曲线的积分,不因闭曲线在区域内作连续变形而改变它的值,只要在变形过程中曲线不经过函数f(z)不解析的点.这一性质,称为闭路变形原理.
(https://www.daowen.com)
例如,从本章3.1的例1知:当C为z0为中心的正向圆周时,
所以,根据闭路变形原理,对于包含z0的任何一条正向简单闭曲线Γ(图3.8)都有:![]()
对于多连通区域,若一个函数在区域的边界和内部解析,根据闭路变形原理,可以把外边界上的积分转化为在所有边界上的积分.
例2 设C为正向圆周|z|=10,计算积分

解 由于
于是得

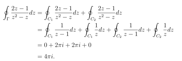
例3 计算
的值,Γ为包含圆周|z|=2在内的任何正向简单闭曲线.
解 函数
在复平面内除z =0和z =1两个奇点外处处解析.由于Γ是包含圆周|z| = 1在内的任何正向简单闭曲线,因此它包含这两个奇点.在Γ内作两个互不包含也互不相交的正向圆周C1 和C2,C1只包含奇点z =0,C2只包含奇点z =1(图3.9),那么根据复合闭路定理得


从这个例子我们看到:借助于复合闭路定理,有些比较复杂的函数的积分可以化为比较简单的函数的积分.这是计算积分常用的一种方法.