3.3 原函数与不定积分
由上一节定理2的推论,我们知道: 若函数f(z)在单连通区域D内处处解析,那么积分
与连结起点及终点的路线C无关.设z0,z1 ∈D,解析函数在单连通域内的积分只与起点z0及终点z1有关,可记作
固定z0,让z1在D内变动,并令z1 =z,那么积分
在D内确定了一个单值函数F(z),即

对于这个函数,我们有:
定理1 若f(z)是单连通域D内处处解析,那么函数F(z)必为D内的一个解析函数,并且F′(z)=f(z).
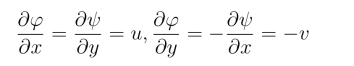
证明 设f(z) = u(x,y)+iv(x,y),并且F(z) = φ(x,y)+iψ(x,y),则由式(3.3.1)和式(3.1.2)可得

即

由于在D内f(z)的积分与路径无关,因此这两个二元实函数的曲线积分也与路径无关.从而φ(x,y)和ψ(x,y)在单连通域D内可微且有
![]()
其中u(x,y)和v(x,y)在D内可微,从而也必定连续,则有

在D内连续,因此根据第2章2.2中的定理3,函数F(z)在D内解析且有
![]()
这个定理跟微积分学中的对变上限积分的求导定理完全类似.在此基础上,我们也可以得出类似于微积分学中的基本定理和牛顿-莱布尼茨公式.
同一元实函数的情形一样,可定义其原函数.
定义 对于函数f(z),若存在函数W(x)使在区域D内恒有W′(z)=f(z),则称W(z)为f(z)在D 内的一个原函数.显然原函数W(z)在D内一定解析.
定理1表明,F(z)=
是f(z)的一个原函数.容易证明,f(z)的任何两个原函数相差一个常数.设G(x)和H(x)是f(z)的任何两个原函数,那么
![]()
所以G(z)-H(z)=c(c为任意常数).
由此可知,若函数f(z)在区域D内有一个原函数F(z),那么它就有无数个原函数,而且具有一般表达式F(z)+c,c 为任意常数.(https://www.daowen.com)
跟微积分学中一样,定义f(z)的原函数的一般表达式F(z)+c(其中c为任意常数)为f(z)的不定积分,记作则它在D内的任意一个原函数可以表示为

利用任意两个原函数之差为一常数这一性质,可以推得和牛顿-莱布尼茨公式类似的解析函数的积分计算公式.
定理2 若f(z)在单连通域D内解析,且W(z)是函数f(z)在D内的一个原函数,则对D内的任意两点z0,z1有

证明 因为
也是f(z)的一个原函数,所以

当z = z0时,根据柯西-古萨基本定理,得
从而c = -W(z0).因此,

或

有了原函数、不定积分和积分计算公式(3.3.2),单连通域上解析函数的积分就可用和微积分学中类似的方法去计算.
例1 计算积分![]()
解![]()
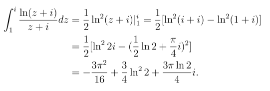
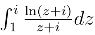
例2 计算积分![]()
解 因为函数-z cos z2在z平面上解析,且它的一个原函数为
所以

例3 试沿区域Imz ≥0,Rez ≥0 内的圆弧|z|=1,计算积分
的值.
解 函数
在所设区域内解析,它的一个原函数为
所以
