3.4.3 柯西不等式

3.4.3 柯西不等式

利用高阶导数公式,可以得出关于导数模的一个估计式.

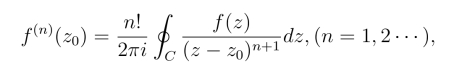
定理3(柯西不等式) 设函数f(z)在圆C :|z-z0|=R 所围区域内解析,且在C上连续,则

图示

其中M是|f(z)|在C上的最大值.

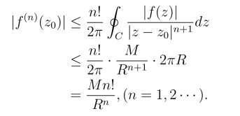
证明 根据给出的条件及高阶导数公式,有

图示(https://www.daowen.com)

于是

图示

柯西不等式表明解析函数在一点的导数模的估计与它的解析性区域的大小密切相关.特别是,当n=0时,有

图示

这表明,若函数在闭圆域上解析,则它在圆心处的模不超过它在圆周上的模的最大值.