3.5 解析函数与调和函数的关系
前面我们证明了在区域D内的解析函数,其导数仍为D内的解析函数,下面我们用这个结论来研究解析函数与调和函数的关系.
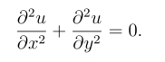
定义1 若φ(x,y)在平面区域D内有二阶连续偏导数,并且满足拉普拉斯(Laplace)方程

则称φ=φ(x,y)在D内为调和函数.
引入记号

称为Laplace算子,则式(3.5.1)可简记为△φ=0.
定理1 若函数f(z)=u(x,y)+iv(x,y)在区域D内解析,则u=u(x,y)和v =v(x,y) 在D内都是调和函数.
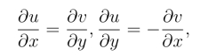
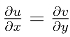
证明 由于f(z)=u+iv为D内的一个解析函数,那么

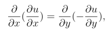
从而

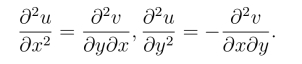
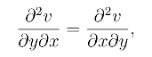
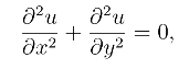
由上一节的定理2知u与v具有任意阶的连续偏导数.所以

从而

同理

因此u与v都是调和函数.
但是若已知区域D内的两个调和函数u = u(x,y),v = v(x,y),由此构造一个复变函数f(z) = u+iv,则由于u和v 不一定满足C-R方程,因此f(z)不一定是D内的解析函数.
定义2 若u = u(x,y),v = v(x,y)均为区域D内的调和函数,且满足CR方程

则称u是v的共轭调和函数.
由上面的定理可知,区域D内的解析函数的虚部为实部的共轭调和函数.
若已知区域D内的一个调和函数u,则可以利用C-R方程求得它的共轭调和函数v,从而构成一个解析函数u+iv.
由于多连通域可用割线分成一个或多个单连通域,因此只讨论D为单连通域的情形.
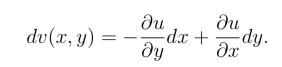
设已知单连通域D内解析函数的实部u = u(x,y),求其虚部调和函数v =v(x,y),这时有

得

从而
是全微分,则存在一个函数v(x,y),使

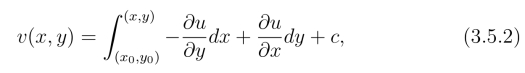
取D内一固定点z0 =x0+iy0,则有

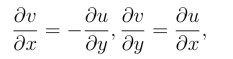
两边对x,y求偏导,则有

即u和v满足C-R方程.
由于u是调和函数,因而在D内有连续的二阶偏导,从而一阶偏导连续,再由C-R方程,得u和v在D内任一点处可微,这样函数f(z) = u+iv在区域D内解析.这种求解析函数的方法称为线积分法.由上面的讨论,可以得到下面的结论.
定理2 设u(x,y)是单连通域D内的调和函数,则存在函数v(x,y),使函数f(z)=u+iv在D 内解析.
在式(3.5.2)的计算中,由于该积分在D内与积分路径无关,可在D内取定点(x0,y0)和平行于坐标轴的路径来计算.如取从点(x0,y0)到(x,y0)再到点(x,y)的折线段可得

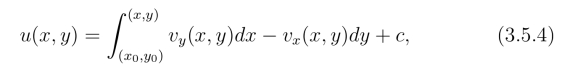
同理在D内已知其虚部v =v(x,y),可求出其实部u=u(x,y),由于(https://www.daowen.com)
![]()
得

取从点(x0,y0)到(x,y0)再到点(x,y) 的折线段可得

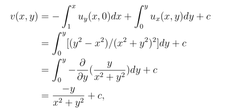
例1 已知u = x/(x2+y2)在右半平面Rez >0是调和函数,求在该半平面解析的函数f(z)=u+iv使
![]()
解 求偏导数得
![]()
在该半平面取点(x0,y0)为(1,0),由式(3.5.3)得

于是得f(z) = (x-iy)/(x2+y2)+ci =
由条件f(1+i) = (1-i)/2得c=0,因此

下面再介绍两种已知调和函数u(x,y)或v(x,y)求解析函数f(z) = u+iv的方法.首先通过例子说明.
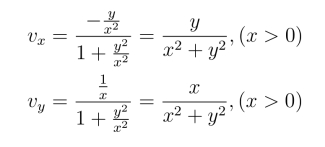
例2 验证v(x,y) =
是在右半平面(x >0)内的调和函数,求以此为虚部的解析函数f(z)=u+iv.
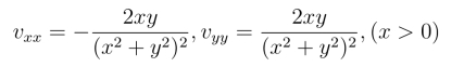
解 由于

从而有

因此vxx+vyy =0(x >0),即v(x,y)在右半平面内是调和函数.
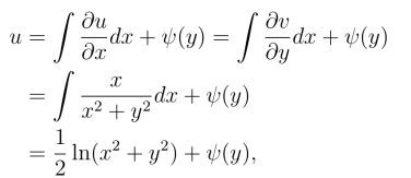
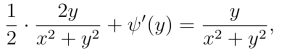
由
得

两边对y求偏导,再由
得

得ψ′(y)=0,即ψ(y)=c,因此

在右半平面内单值解析.
下面再介绍另一种求解析函数的方法.我们知道,解析函数f(z) =u+iv的导数f′(z)仍为解析函数,且
![]()
把ux-iuy与vy+ivx还原成z的函数(即用z来表示),得
![]()
将它们积分,即得

已知实部u求f(z)可用式(3.5.6),已知虚部v求f(z)可用式(3.5.7).
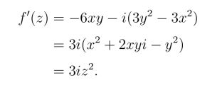
例2 已知u(x,y) = y3-3x2y在整平面内是调和函数,求以此为实部的解析函数f(z).
解 因u(x,y)=y3-3x2y,故ux =-6xy,uy =3y2-3x2,从而

故

其中c1为任意纯虚数,因为f(z)的实部为已知函数,不可能包含实的任意常数.所以
![]()
其中c为任意实常数.