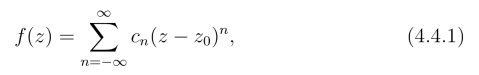
4.4.1 洛朗级数展开定理
在圆环域R1 <|z-z0|<R2内处处解析的函数f(z)可以展开成z-z0的正、负幂项都有的级数,称为f(z)的洛朗(Laurent) 级数.
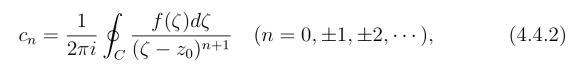
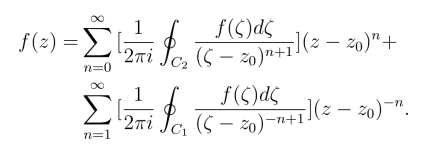
定理1(洛朗级数展开定理) 设R1 <|z - z0| <R2 为环域D,函数f(z)在D内解析,则对D 内任意点z有

其中

C为在该环域内任意一条围绕点z0的正向简单闭路.
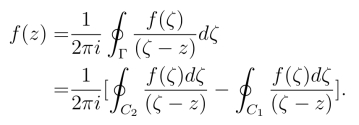
证明对任意z ∈D,在D内分别作正向圆周C1 和C2,其中C1为|ζ-z0|=r1,C2 为|ζ-z0|=r2使r1 <|z-z0|<r2,且使曲线C 在圆周C1和C2之间的环域D1 的内部(图4.2).

设Γ=C1+C2,闭域
为
![]()
显然f(z)在闭域
上解析,由柯西积分公式可得

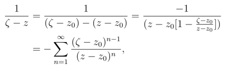
由上节定理1的证明过程有

由于|z-z0|>r1,因此在C1上有
从而

于是得

从而有

由闭路变形原理(复闭路定理),将上式中C1和C2可改写为闭路C即得所证结论.
式(4.4.1)称为函数f(z)在以z0为中心的圆环域:R1 <|z-z0| <R2内的洛朗展开式,它右端的级数称为f(z) 在此圆环域内的洛朗级数.级数中正整次幂部分和负整次幂部分分别称为洛朗级数的解析部分和主要部分.
同泰勒级数一样,洛朗级数在其收敛环域内具有下面性质.
定理2 若函数f(z)在上述环域D内解析,则该函数的洛朗级数展开式(4.4.1)在D内处处绝对收敛,可以逐项微分和积分,其积分路径为D内的任何简单闭路.
证明略去.
利用上述性质可以证明洛朗级数展开式的唯一性.
若在圆环域R1 <|z-z0|<R2内f(z)有表示式

上式两端同乘
则

对圆环域内绕z0的任一简单闭曲线C,将上式两端沿曲线C积分,并注意到等号右端在圆环域内可逐项积分,得

其中p=0,±1,±2,··· ,这就证明了展开式(4.4.1)的唯一性.
在一些应用中,往往需要把在某点z0不解析但在z0的去心邻域内解析的函数f(z)展开成级数,这就要利用洛朗级数来展开.
利用公式(4.4.2)直接求cn较复杂,一般用已知函数的泰勒展开式及幂级数的运算性质求洛朗级数.
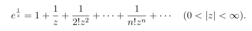
例1 求f(z)=
在0 <|z|<∞内的洛朗级数.(https://www.daowen.com)
解 令ζ =
由于

因此

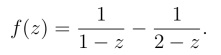
例2 函数f(z)=
在圆环域(图4.3):
(1)0 <|z|<1;
(2)1 <|z|<2;
(3)2 <|z|<∞.
内是处处解析的.试把f(z)在这些区域内展开成洛朗级数.
解

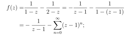
把f(z)写成

(1)在0 <|z|<1内(图4.3(a)),由于|z|<1,从而
因此


从而有

级数中不含有z的负幂项,这是由于f(z)=
在z =0处是解析的.
(2)在1 <|z| <2(图4.3(b))内,由于|z| >1,所以式(4.4.3)不在成立,但此时
因此可把
如下展开:

从而有

(3)在2 <|z|<∞(图4.3(c))内,由于|z|>3,所以式(4.4.4) 不在成立,但此时
因此可把
如下展开:

由于此时
所以式(4.4.5)仍然成立,从而有

同一个函数在不同的圆环域内展开式不同,这与展开式的唯一性并不矛盾,唯一性是对同一圆环域而言的.
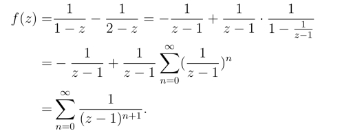
例3 将函数f(z)=
在z0 =1处展开成洛朗级数.
解 函数f(z)的奇点为z1 = 1和z2 = 2,这样以z = 1为中心的解析圆环域有两个
![]()
当0 <|z-1|<1时,

当1 <|z-1|<∞时,

求函数f(z)在z0点的洛朗级数,应先求出所有解析的圆环域再一一展开.