4.4.2 用洛朗级数展开式计算积分
2026年01月14日
4.4.2 用洛朗级数展开式计算积分
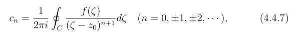
若f(z)在圆环域R1 <|z-z0|<R2内解析,C 为圆环域内绕z0的正向简单闭曲线,则f(x)在该圆环域内的洛朗展开式为

其中

因而可以将复积分的计算转化为求被积函数的洛朗展开式中(z-z0)的负一次幂项的系数c-1.
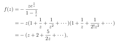
例4 计算积分![]()
解 函数f(z)=
在1 <|z|<∞内解析,|z|=3 在此圆环域内,把它在此圆环域内展开得

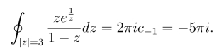
故
从而

例5 计算积分![]()
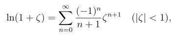
解 先分析函数
的解析性.令ζ =
由于ln ζ的不解析点为原点及负实轴,因此
的奇点的值满足等式1+
= x (x ≤0),其奇点可以表示为z =
(x ≤0).这些奇点有无穷多个,构成了实轴上的区间[-1,0],因此函数ln(1+
)在环域1 <|z| <∞内解析.|z| = 3 在此圆环域内,利用泰勒级数展开式(https://www.daowen.com)

得到在环域1 <|z|<∞内的洛朗级数展开式

于是
从而I =2πic-1 =-πi.
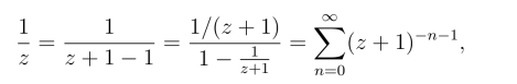
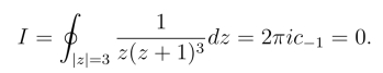
例6 计算积分![]()
解函数f(z)=
的奇点为z1 =0,z2 =-1.由于积分曲线|z|=4既在圆环域1 <|z| <∞内,又在圆环域1 <|z +1| <∞内.这样,我们可以把f(z)在z1 = 0处展开成洛朗级数,也可在z2 = -1处展成洛朗级数,注意将f(z)在z2 = -1处展开成洛朗级数较为简便.下面我们在圆环域1 <|z+1|<∞内把f(z)展开成洛朗级数.
首先需要将函数
在该环域1 <|z+1|<∞内展开成洛朗级数.

两边同除以(z+1)3得所求展开式

因此c-1 =0,从而有
