4.5 小结
2026年01月14日
4.5 小结
复数列αn = an+ibn(n = 1,2,···)和复数项级数
的收敛定义与实数域内数列和级数的收敛定义完全类似.复数列αn = an +ibn收敛的充要条件是实数列an 和bn 同时收敛.复数项级数
收敛的充要条件是
同时收敛.级数
收敛的必要条件是![]()
若级数
收敛,则
必收敛,称为绝对收敛.
绝对收敛的充要条件是
同时绝对收敛.幂级数是函数项级数
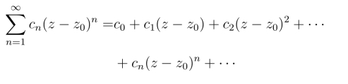
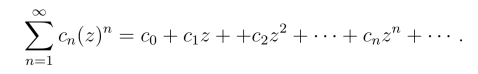
中最简单的,形式为

或

由阿贝尔定理知幂级数的收敛范围为一圆域,其圆周称为收敛圆.在圆的内部,级数绝对收敛.在圆的外部,级数发散.在圆周上要具体讨论.
收敛圆的半径称为幂级数的收敛半径.收敛半径的求法有比值法与根值法.
幂级数可以作四则运算,在收敛圆内,幂级数的和函数是解析函数,并且可以逐项求导与逐项积分.
如果函数f(z)在圆域|z-z0|<R内解析,则在此圆域内f(z)可以展开成幂级数:

并且展开式是唯一的.
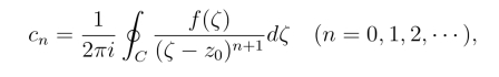
如果函数f(z)在圆环域|z-z0|<R内处处解析,那么
(https://www.daowen.com)

其中C为圆环域内绕z0的任何一条正向简单闭曲线,并且展开式也是惟一的.
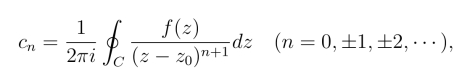
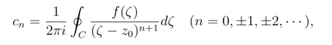
泰勒展开式中的系数公式也可以写成

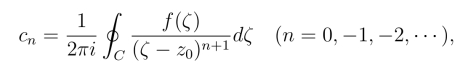
这与洛朗展开式中的系数公式

从表面上看完全一样,但是洛朗展开中的系数cn一般来说,并不等于![]()
这是因为若z0是f(z)的奇点,那么f(n)(z0) 根本不存在,即使z0不是奇点而有f(n)(z0)存在,但在圆域|z-z0| ≤R1内可能还有其他奇点,从而简单闭曲线C内有奇点,因此Cn也不能写成
但是若f(z) 在|z-z0|≤R1内处处解析,则

在C的内部处处解析,由柯西积分定理知

这时,洛朗级数成为泰勒级数.洛朗级数是泰勒级数的推广.
洛朗级数给我们提供了一种新的计算复积分的方法,在下一章中将进行进一步的讨论.