5.1.4 函数在无穷远点的性态
2026年01月14日
5.1.4 函数在无穷远点的性态
我们在前面讨论奇点都是在有限复平面上进行的,为了考察函数在无穷远点的性态,下面我们在扩充复平面上进行讨论.
若函数f(z)在无穷远点z = ∞的去心邻域内R <|z| <+∞内解析,则称z =∞为f(z) 的孤立奇点.
设f(z)在其孤立奇点z =∞的去心邻域R <|z|<+∞内的洛朗级数为

做变换ζ =
则

在0 <|ζ| <
内解析,ζ = 0是φ(ζ) 的孤立奇点.这样,我们可通过ζ = 0的类型来定义孤立奇点z =∞的类型.
定义3 设ζ = 0是函数φ(ζ) =
的孤立奇点,若ζ = 0为φ(ζ)的可去奇点,则称z = ∞为f(z)的可去奇点; 若ζ = 0 为的m级极点,则称z = ∞为f(z)的m级极点; 若ζ =0为的本性奇点,则称z =∞为f(z)的本性奇点.
由定义3可知,若级数(5.1.5)中不含正幂项,则z = ∞为f(z)的可去奇点; 若级数(5.1.5)中仅含有有限多的正幂项,且最高次幂为zm,则z =∞为f(z)的m 级极点;若级数(5.1.5)中含有无穷多的正幂项,则z =∞为f(z)的本性奇点.
当z =∞为f(z)的可去奇点时,若取f(∞)=
则认为f(z)在z =∞解析.(https://www.daowen.com)
例如,函数f(z)=
在z =∞的去心邻域2 <|z|<+∞内的洛朗级数

中不含z的正幂项,所以z = ∞为f(z)的可去奇点.若取f(∞) = 1,则f(z)在z =∞解析.
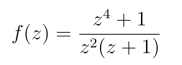
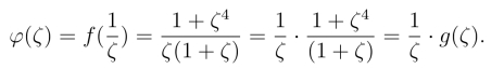
例2 判断z =∞是函数

的什么类型的奇点? 如果是极点,指出它的级.
解 令ζ =
则

由于g(ζ)在ζ = 0解析且g(0)
0,所以ζ = 0是的简单极点,因此z = ∞是f(z) 的简单极点.