5.2.2 留数定理
2026年01月14日
5.2.2 留数定理
使用下面的定理,我们可以利用留数计算复积分.
定理1(留数定理) 若函数f(z)在正向简单闭曲线C上处处解析,在C 的内部除有限个孤立奇点z1,z2,··· ,zn外解析,则有

证明 在C的内部围绕每个奇点zk作互不包含的正向小圆周Ck,k =1,2,··· ,n(图5.1),根据复合闭路定理有

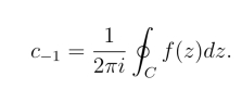
由留数的定义

从而有

利用留数定理,求沿封闭曲线C的积分,就转化为求被积函数在C 中的各孤立奇点处的留数.
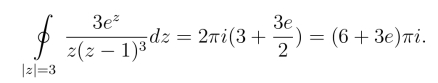
例4 计算积分
解 z =0为被积函数f(z)=
的一级极点,z =1 为f(z) 的三级极点,例1(1)中已算出

z =0及z =1均在|z|=3的圆周内,由留数定理


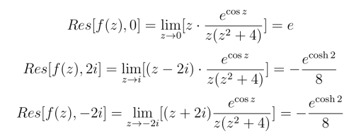
例5 计算积分![]()
解 f(z) =
在|z| = 3的内部有三个一级极点z = 0,z = 2i,z =-2i.

故由留数定理

对有些复变函数的积分用下面定理计算更简便.
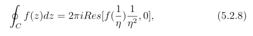
定理2 若函数f(z)在环域R <|z| <∞内解析(在圆|z| <R内可能有无穷多个奇点),则有(https://www.daowen.com)

其中C是包含圆周|z|=R的任一条正向简单闭曲线.
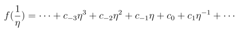
证明 设f(z)在环域R <|z|<+∞内的洛朗级数为
![]()
则有

做变换z =
则函数
在点η = 0的去心邻域0 <|η| <
内解析,且在该邻域内洛朗级数为

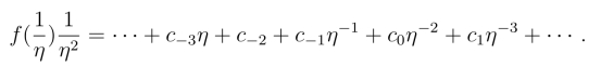
两边同乘以
得

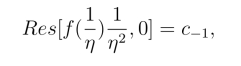
由于

因此

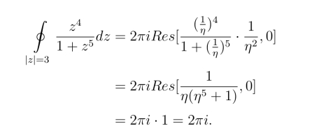
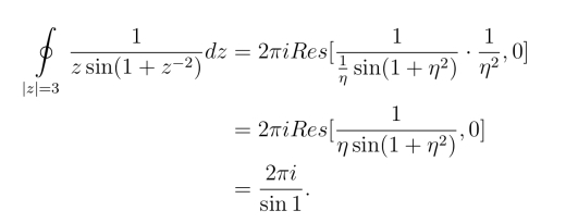
例6 计算下列积分.


解 (1)被积函数的五个奇点都在|z|=3的内部.若使用定理1,要计算五个奇点的留数,比较麻烦,故使用定理2.

(2)f(z)在环域2 <|z| <+∞内解析,但在|z| <2内有无数个奇点,故使
用定理2.
