7.2.2 δ函数的筛选性质
下面给出的δ-函数筛选性质也可以作为δ-函数的定义,不加证明.
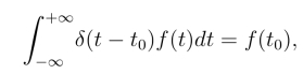
δ函数的筛选性质 对R上任意无穷次可微函数f(t) 及t0∈R 有

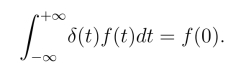
特别是

下面利用δ-函数的筛选性质形式地证明它的两个性质.
例3 (1)证明δ(t)为偶函数;
(2)设g(t)是连续函数,证明g(t)δ(t)=g(0)δ(t).
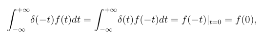
证明 对任何无穷次可微函数f(t),因为

而

由此证明了δ(-t)=δ(t),即δ(t) 为偶函数.
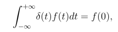
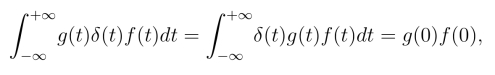
(2)对任何无穷次可微函数f(t),因为

而

所以g(t)δ(t)=g(0)δ(t).
由δ-函数筛选性质以及上面的例子,可以看出,δ-函数的确切意义及性质可以通过积分运算来理解.